東京科学大医歯学系物理'25年前期[2]
円柱型の抵抗器(長さL,断面積S,自由電子の数密度n),内部抵抗の無い電池(電圧V),スイッチを図1のように接続する。スイッチを入れると、電池は抵抗器内に一様な電場をつくり、自由電子(質量m,電荷
,ただしeは電気素量)が抵抗器の中を運動し電流が流れる。自由電子の運動については以下の仮定をおく。(i)円柱の中心軸に平行な方向にのみ動く。(ii)自由電子の受ける力は、電池が抵抗器中に作る電場による力と、抵抗器中の陽イオンなどによる抵抗力の2種類のみである。(iii)抵抗力の向きは自由電子の速度と逆方向である。一個の自由電子に対する抵抗力の大きさは自由電子の速さに比例し、正の比例定数kを用いてk×(自由電子の速さ)で与えられる。(iv)導線の抵抗は考えなくてよい。
以下の問題に符号に注意して答えよ。向きをもつ量(速度・加速度・電場・電流など)は右向きを正とする。解答は問題文末尾にある[ ]内の記号のうち必要なものを用いて表現すること。
(1) スイッチを入れている間、電池が抵抗器中に作る電場を求めよ。右向きを正とする。[L,S,n,V]
(2) 抵抗力の比例定数kのもつ単位を、m(メートル),kg(キログラム),s(秒),A(アンペア)をもちいて
のように表せ。指数が0や1の場合にも省略せず記すこと。
スイッチを入れて十分な時間がたつと、自由電子の速度や電流が一定値に落ち着く(定常状態)。問題(3)から(10)は、定常状態について解答せよ。
(3) 抵抗器内の自由電子の速度
を求めよ。右向きを正とする。[L,S,n,V,m,e,k] (4) 円柱の中心軸に垂直な断面を考える。微小時間
の間にこの断面を通過する自由電子の数
を求めよ。ただし断面を左から右に通過する場合を正の量、逆方向を負の量で表すこと。[S,L,n,
,
] (5) 抵抗器を流れる電流Iを求めよ。右向きを正とする。[e,
,
] (6) 抵抗器の抵抗値Rを求めよ。[L,S,n,m,e,k]
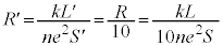
(7) 抵抗器の体積を一定に保ちつつ、抵抗値
の円柱型抵抗器を作る。その長さ
と断面積
を求めよ。[L,S] (8) この抵抗器の長さLは3.1mm,断面の円の直径は2.0mm,抵抗値Rは
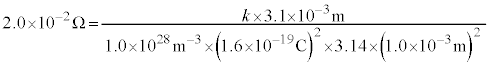
である。また、この抵抗器の自由電子数密度nは
である。kの値を有効数字2桁で求めよ。単位は、問題(2)の解答と同じにすること。
とする。
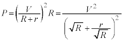
現実の電池には図2のように内部抵抗がある。電池の電圧をV,内部抵抗をrとして問題(9),(10)に答えよ。また問題(9),問題(10)では断面積Sを保ったまま抵抗器の長さLを自由に変えられ、それによって抵抗値Rも自由に変えられるものとする。
(9) 抵抗器の消費電力Pを求めよ。また、PをRの関数として解答用紙中のグラフに示せ。[V,R,r]
(10) 抵抗器の消費電力を最大にするLを求めよ。[S,n,m,e,k,r]
以下では、図1の回路において、スイッチが切れている状態から、時刻
にスイッチを入れた後の自由電子の運動について考える。スイッチを入れた瞬間に自由電子は静止しているものとする。また、スイッチを入れている間、電池は抵抗器内に問題(1)で求めた一様な電場をつくるものとする。
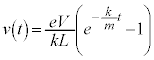
(11) スイッチを入れた後の、自由電子の運動方程式を記せ。ただし自由電子の加速度をa,速度をvとする。右向きを正とする。[m,v,a,k,e,V,L]
(12) 問題(11)の運動方程式をt の関数として解くと、
の形になることが知られている。ただし、
は自然対数の底(ネイピア数)であり、A,B,Cは定数である。加速度
が速度
の時間微分であることを使って、定数A,B,Cを求めよ。[m,k,e,V,L]
【広告】ここから広告です。ご覧の皆さまのご支援ご理解を賜りたく、よろしくお願いいたします。
【広告】広告はここまでです。
解答
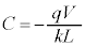
(1) 電池は抵抗器中に右向きの電場を作ります。電場の大きさは
なので、電池が抵抗器中に作る電場は、
......[答]
(2) 抵抗力の単位は
,速度の単位は
なので、抵抗力の比例係数kの単位は、
......[答]
(3) 自由電子は負電荷を持っているので、右向きの電場から左向きの力
を受けて左向きに運動し、負の速度を持ちます。負の速度をもつと、抵抗力は右向きで
に注意して
(
)です。定常状態では、両者がつり合うので、力のつり合いより、
∴
......[答]
(4) 自由電子は左向きに動くので、
に注意します。微小時間
の間にこの断面を通過する自由電子の数
は、体積
内に存在する自由電子数であり
より、
......[答]
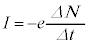
(5) 負電荷を持つ自由電子が左向きに動くので電流は右向きで正です。単位時間にある断面を通過する電荷が電流なので、
に注意して電流Iは、
......[答] (4)の結果を代入すると、
・・・@
(6) @に(3)の結果を代入して、
オームの法則
より、抵抗器の抵抗値Rは、
......[答]
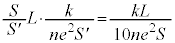
(7)
・・・A また、体積一定より
,
,Aに代入すると、
(8) (6)の結果に問題文の数値を代入して、
ここで、
より、
であって((2)の結果と一致します)、
......[答]
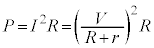
(9) 抵抗器を流れる電流は
抵抗器の消費電力は
......[答]
(10) (9)の結果より
・・・B 相加平均相乗平均の関係より
不等号成立は、
,つまり、
のときです。このとき(6)の結果より、
∴
......[答]
(11) (3)と同様に、自由電子には、電場から受ける力
と、速度vに比例する抵抗力
が働きます。自由電子の運動方程式は、
......[答]
(12) (11)の運動方程式に
を代入すると、
(微分を参照)より(以下の式変形の途中経過では、自然対数の底eと紛らわしいので、電子の電荷をqと書きます)、 これが、任意のt に対して成立するために(恒等式の条件を参照)、
,
∴
(
は定常状態に相当し、ここでは
とします),
また、
(スイッチを入れた瞬間)に自由電子は静止しているので
です。
∴ 
自由電子の電荷をqからeに戻して、
,
,
......[答]
となります。
【広告】ここから広告です。ご覧の皆さまのご支援ご理解を賜りたく、よろしくお願いいたします。
【広告】広告はここまでです。
東京科学大物理TOP 物理TOP TOPページに戻る
【広告】ここから広告です。ご覧の皆さまのご支援ご理解を賜りたく、よろしくお願いいたします。
【広告】広告はここまでです。
各問題の著作権は
出題大学に属します。なお、解答は、
苦学楽学塾制作です。©2005-2025(有)りるらる 苦学楽学塾 随時入会受付中!理系大学受験ネット塾苦学楽学塾(ご案内はこちら)ご入会は、
まず、こちらまでメールを
お送りください。