共通テスト数学IA '26年第4問
1人対1人で対戦する競技の大会があり、A,B,Cの3人、またはA,B,C,Dの4人で開催される。大会はリーグ戦形式で行われる。すなわち、それぞれの人が他の全ての人と1回ずつ対戦する。引き分けはないものとし、Aが対戦相手に勝つ確率は
であり、A以外の2人が対戦するとき勝つ確率はどちらも
であるものとする。なお、各対戦の結果は互いに影響を与えないものとする。
すべての対戦が終わった後、次の優勝者の決め方により優勝者を1人決める。
−優勝者の決め方−−−−−−−−−−−−−−−−−−−−
勝ち数が一番多い人が1人であれば、その人を優勝者とする。そうでなければ、抽選により、勝ち数が一番多い人の中から1人を選び、その人を優勝者とする。ただし、勝ち数が一番多い人の人数がn人であるとき、それぞれの人が選ばれる確率は
であるものとする。 −−−−−−−−−−−−−−−−−−−−−−−−−−−
Aが優勝する確率を、A,B,Cの3人でリーグ戦を行うときと、A,B,C,Dの4人でリーグ戦を行うときとで比較しよう。
以下では、すべての対戦の勝敗を対戦結果と呼ぶ。なお、対戦結果は抽選の結果を含まない。
対戦結果を示すために表を用いる。例えば、表1は4人でリーグ戦を行ったときの対戦結果の一つを示す。Aから始まる行の×〇〇は、AがBに負けCとDに勝ち、2勝1敗となったことを示す。また、勝ち数が一番多いAとBの2人が抽選の対象であり、そのことを✓で示す。
表 1
| \ | A | B | C | D | 勝ち数 | 負け数 | 抽選 |
| A | \ | × | 〇 | 〇 | 2 | 1 | ✓ |
| B | 〇 | \ | 〇 | × | 2 | 1 | ✓ |
| C | × | × | \ | 〇 | 1 | 2 | − |
| D | × | 〇 | × | \ | 1 | 2 | − |
(1) A,B,Cの3人でリーグ戦を行うときにAが優勝する確率を考える。
(i) Aが2勝0敗ならば、Aが優勝する。Aが2勝0敗で優勝する確率は
である。
(ii) Aが1勝1敗で優勝するためには、BもCも1勝1敗であることが必要である。例えば、Aが勝つ相手がBであるとき、AがCに負けBがCに勝つことが必要である。表2は、この対戦結果を示し、この対戦結果になる確率は
である。この対戦結果になり、かつAが抽選により優勝者に選ばれる確率は
である。
表 2
| \ | A | B | C | 勝ち数 | 負け数 | 抽選 |
| A | \ | 〇 | × | 1 | 1 | ✓ |
| B | × | \ | 〇 | 1 | 1 | ✓ |
| C | 〇 | × | \ | 1 | 1 | ✓ |
Aが勝つ相手はB,Cの2通りあることに注意すると、Aが1勝1敗で優勝する確率は
であることがわかる。(i)と(ii)から、Aが優勝する確率は
である。
(2) A,B,C,Dの4人でリーグ戦を行うときにAが優勝する確率を考える。
Aが3勝0敗ならば、Aが優勝する。また、Aが1勝2敗ならば、2勝以上する人がいるためAは優勝しない。
Aが2勝1敗で優勝する確率を、全敗する人がいる場合の確率と全敗する人がいない場合の確率の和として求める。
(i) 全敗する人がいる場合で、かつAが2勝1敗で優勝する確率を求める。
全敗する人はB,C,Dの3通りある。例えば、Dが全敗するとき、対戦結果の一部を示すと表3のようになる。
表 3| \ | A | B | C | D | 勝ち数 | 負け数 | 抽選 |
| A | \ | | | 〇 | | | |
| B | | \ | | 〇 | | | |
| C | | | \ | 〇 | | | |
| D | × | × | × | \ | 0 | 3 | − |
Dが全敗する確率は
である。Dが全敗する場合、Aが2勝1敗で優勝するためには、AがD以外の2人との対戦で1勝1敗となることが必要である。
以上のことから、(1)の(ii)の結果を用い、全敗する人がB,C,Dの3通りあることに注意すると、全敗する人がいる場合で、かつAが2勝1敗で優勝する確率は
であることがわかる。
(ii) 全敗する人がいない場合で、かつAが2勝1敗で優勝する確率を求める。
Aが2勝1敗のとき、Aが負ける相手はB,C,Dの3通りある。例えば、Aが負ける相手がBであるとき、対戦結果の一部を示すと表4のようになる。
表 4| \ | A | B | C | D | 勝ち数 | 負け数 | 抽選 |
| A | \ | × | 〇 | 〇 | 2 | 1 | |
| B | 〇 | \ | | | | | |
| C | × | | \ | | | | |
| D | × | | | \ | | | |
このとき、
Aが優勝するためには、Bは2勝1敗か1勝2敗であることが必要である。例えば、表1は、AとBが2勝1敗である対戦結果の一つを示し、AとBの2人が抽選の対象となったことを示す。
表 1 (再掲)| \ | A | B | C | D | 勝ち数 | 負け数 | 抽選 |
| A | \ | × | 〇 | 〇 | 2 | 1 | ✓ |
| B | 〇 | \ | 〇 | × | 2 | 1 | ✓ |
| C | × | × | \ | 〇 | 1 | 2 | − |
| D | × | 〇 | × | \ | 1 | 2 | − |
全敗する人がいない場合で、かつAがBに負けCとDに勝ち優勝するときの対戦結果は
通りある。Aが負ける相手がB,C,Dの3通りあることに注意すると、全敗する人がいない場合で、かつAが2勝1敗で優勝する確率は
であることがわかる。
(i)と(ii)から、Aが2勝1敗で優勝する確率は
である。
以上のことから、Aが3勝0敗で優勝する確率を考慮すると、Aが優勝する確率は
であることがわかる。この確率は(1)で求めた3人でリーグ戦を行うときにAが優勝する確率より
だけ
。
の解答群
小さい
大きい
【広告】ここから広告です。ご覧の皆さまのご支援ご理解を賜りたく、よろしくお願いいたします。
【広告】広告はここまでです。
解答 難問ではありませんが、ややこしい上に解答途中経過の確認が困難で、枠にうまくはまらないときなど、試験場では見落としがないか充分に注意しながら解答する必要があります。
(1)(i) Aが2勝する確率は、
ア 4 イ 9 ......[答]
(ii) Aが1勝1敗となる確率は、
,BがCに勝つ確率は
,表2の対戦結果となる確率は、
ウ 1 エ 9 ......[答] 表2の対戦結果となり、かつAが3人の抽選により優勝者となる確率は、
(
) オ 1 カ 3 ......[答] Aが勝つ相手がB,Cの2通りあるので、Aが1勝1敗で優勝する確率は、
キ 2 クケ 27 ......[答]
(i)と(ii)から、Aが優勝する確率は、
・・・@
(2) Aが3勝0敗で優勝する確率は、
・・・A
(i) Dが全敗する確率はDがAに負ける確率が
なので、
コ 1 サ 6 ......[答] Dが全敗したとき、Aが2勝1敗になる確率は、AがBに負ける(BはCに負ける)かCに負ける(CはBに負ける)かが2通りあり、
全敗する人が3通りあり、全敗する人がいる場合、2勝1敗の人が3人いるので、3人の抽選に勝ってAが2勝1敗で優勝する確率は、
シ 1 スセ 27 ......[答]
(ii) 全敗する人がいない場合で、かつAがBに負けCとDに勝つ対戦結果は、
B〇-×C,B×-〇D,C〇-×D(B:2勝1敗、C:1勝2敗、D:1勝2敗)
B×-〇C,B〇-×D,C×-〇D(B:2勝1敗、C:1勝2敗、D:1勝2敗)
B×-〇C,B×-〇D,C〇-×D(B:1勝2敗、C:2勝1敗、D:1勝2敗)
B×-〇C,B×-〇D,C×-〇D(B:1勝2敗、C:1勝2敗、D:2勝1敗)の4通り。 ソ 4 ......[答]
B,C,Dについて対戦結果がこうなる確率は、
AがBに負けCとDに勝つ確率は、
全敗する人がいない場合、Aが負ける相手は、B,C,Dの3通りあり、2勝1敗の人が2人いるので、2人の抽選に勝ってAが2勝1敗で優勝する確率は、
タ 1 チ 9 ......[答]
(i)と(ii)から、Aが2勝1敗で優勝する確率は、
・・・B
A,Bより、Aが優勝する確率は、
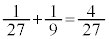
ツ 4 テ 9 ......[答]この確率は(1)で求めた3人でリーグ戦を行うときにAが優勝する確率@より、
,つまり
だけ小さい。 ト 2 ナニ 27 ヌ 0 ......[答]
【広告】ここから広告です。ご覧の皆さまのご支援ご理解を賜りたく、よろしくお願いいたします。
【広告】広告はここまでです。
数学TOP TOPページに戻る
【広告】ここから広告です。ご覧の皆さまのご支援ご理解を賜りたく、よろしくお願いいたします。
【広告】広告はここまでです。
各問題の著作権は
出題大学に属します。なお、解答は、
苦学楽学塾制作です。©2005-2026(有)りるらる 苦学楽学塾 随時入会受付中!理系大学受験ネット塾苦学楽学塾(ご案内はこちら)ご入会は、
まず、こちらまでメールを
お送りください。