共通テスト数学IIBC '26年第2問
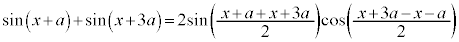
(1) 二つの角A,Bに対し、
・・・@が成り立つことを示そう。
二つの角α,βに対し、加法定理から
・・・A
・・・Bである。AとBの左辺どうし、右辺どうしを加え、
,
とすると、@が得られる。
の解答群
,
については、最も適当なものを、次の
〜
のうちから一つずつ選べ。ただし、同じものを繰り返し選んでもよい。
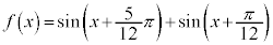
(2) 関数
を とする。
の範囲で
の最大値を考えよう。
@を用いると と変形できる。
は正の定数であるから、
の範囲において、
は
で最大値
をとる。
〜
については、最も適当なものを、次の
〜
のうちから一つずつ選べ。ただし、同じものを繰り返し選んでもよい。
の解答群
(3) aを
を満たす定数とし、関数
を
とする。
花子さんと太郎さんは、関数
のグラフをコンピュータを用いて表示させてみた。図1は、
,
,
としたときの
のグラフである。これを見て、花子さんと太郎さんは、関数
について話している。
花子:
は、定数p,qを用いて
と変形できそうだね。 太郎:三つの関数
,
,
のうちの二つの関数の和に@を使うと、残り一つの関数の定数倍にできるかな。
(i) @を用いると、関数
,
,
のうちの二つの関数の和
は、残りの関数
の定数倍となる。 したがって、関数
は と変形することができる。
の解答群
の解答群
の解答群
(ii)
のとき、
の範囲において、
は
で最大値
をとる。
の解答群
【広告】ここから広告です。ご覧の皆さまのご支援ご理解を賜りたく、よろしくお願いいたします。
【広告】広告はここまでです。
解答 和を積に直す公式を導き、それを利用して3つの正弦関数の和を考える問題です。誘導通りに進めれば問題ないでしょう。
ア 1 ......[答]
・・・BA+Bより、
,
と見ると、
,
イ 4 ウ 5 ......[答]よって、
・・・@
(2)
,
と見て、@より、
の範囲では、
,即ち、
のとき最大値
をとります。 カ 3 キ 6 ......[答]
(3)
として、
(i) 
ク 1 ケ 1 ......[答]
コ 4 ......[答]
(ii)
,
のとき、 は、
,つまり、
より
,つまり、
のとき最大値
をとります。 サシ 11 ス 6 セ 8 ......[答]
【広告】ここから広告です。ご覧の皆さまのご支援ご理解を賜りたく、よろしくお願いいたします。
【広告】広告はここまでです。
数学TOP TOPページに戻る
【広告】ここから広告です。ご覧の皆さまのご支援ご理解を賜りたく、よろしくお願いいたします。
【広告】広告はここまでです。
各問題の著作権は
出題大学に属します。なお、解答は、
苦学楽学塾制作です。©2005-2026(有)りるらる 苦学楽学塾 随時入会受付中!理系大学受験ネット塾苦学楽学塾(ご案内はこちら)ご入会は、
まず、こちらまでメールを
お送りください。