東京科学大医歯学系物理'25年前期[1]
問1 図1のように、上面の面積S,高さhの直方体が鉛直な姿勢で、上面の位置が水面から深さz,下面の位置が水面から深さ
の水中にある。大気の圧力を
,水の密度を
,重力加速度の大きさを
とする。解答は、問題文末尾にある[ ]内の記号のうち必要なものを用いて表現すること。
(1) 直方体の上面、下面のそれぞれが水から受ける力の大きさを求めよ。[
,
,h,
,S,z] (2) 直方体が水から受ける合力の向き、大きさを、鉛直方向と水平方向に分けて理由とともに答えよ。合力の大きさが0の場合は、解答欄に合力の向きを記入する必要はない。[
,
,h,
,S,z]
問2 図2のように風船部、連結用のロープ、およびゴンドラで構成されている気球がある。風船部は断熱性の素材でできており変形せず体積は
で一定である。風船部内の大気の質量を除いた気球全体(風船部+ロープ+ゴンドラ)の質量はMである。
と比較して他の部分の体積は十分に小さく、風船部以外にかかる浮力は無視できるとする。風船部の下部には弁が備わり、問題(1)〜(5)では常に弁は開いており、風船部内の圧力は周辺の大気の圧力と等しいとする。また風船部内にはヒーターがついており、風船部内の大気を均質に加熱できる。はじめ気球は地表に置かれている。地表における大気の圧力を
,温度を
,密度を
とする。大気のモル質量(1molあたりの質量)をw,気体定数をR,重力の加速度の大きさを
とし、大気は理想気体の状態方程式に従うものとする。解答は、問題文末尾にある[ ]内の記号のうち必要なものを用いて表現すること。
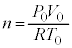
(1) 地表における大気の密度
を求めよ。[
,R,
,w] (2) はじめ風船部内の大気の温度は
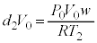
であった。気球にはたらく浮力の大きさを求めよ。[
,
,R,
,
,w] (3) ヒーターで風船部内の大気の温度をゆっくり上げていくと、ある温度で気球が地表からはなれ浮上した。このとき、風船部内の大気の密度
を求めよ。[
,M,
] (4) (3)の気球が地表からはなれたときの風船部内の大気の温度
を求めよ。[
,
,
] (5) 気球の質量Mがある値
より大きい場合、風船部内の大気の温度をどんなに上げても、気球が地表から浮上しなくなる。
を求めよ。[
,
,
] (6) 気球を地表に固定して、風船部の下部の弁を開いたまま風船部内の大気を加熱して温度を
にし、その後、図3のように弁を閉じてから固定をはずした。気球はゆっくり上昇し、ある高度で静止した。上昇する間、風船部内の大気の温度は
で一定とする。気球が静止した高度での大気の温度が
のとき、そこでの大気の圧力を求めよ。[M,
,R,
,
,
,w]
問3 上面の面積S,質量がmで上端の閉じた管があり、図4のように、全体が水没している。管内には物質量n,温度Tの理想気体が封入されている。管の上面と大気との水面は距離z,管の上面と管内の水面は距離hだけ離れている。はじめ管は
で静止していた。大気の圧力を
,水の密度を
,重力加速度の大きさを
,気体定数をRとする。なお、管は常に鉛直な姿勢を保ち、全系の温度はTで一定とする。管壁の厚さ、管内の気体の質量、水の蒸気圧は無視できるものとする。解答は、問題文末尾にある[ ]内の記号のうち必要なものを用いて表現すること。
(1) 管内の気体が管内の水面から受ける力の大きさを求めよ。[
,
,h,
,S,
] (2) 管内の水面が管内の気体から受ける力の大きさを求めよ。[h,n,R,S,T]
(3)
をhを含まない式で答えよ。[
,
,m,n,
,R,S,T] (4)
が増えると、hは増えるか、減るか、理由とともに答えよ。このhの変化はzの変化より十分に速い。その後、管は浮き上がるか、沈むか、理由とともに答えよ。
【広告】ここから広告です。ご覧の皆さまのご支援ご理解を賜りたく、よろしくお願いいたします。
【広告】広告はここまでです。
解答 問1,問2,問3,独立した3問ですが、どれも浮力に関する問題です。問3(4)は、「浮沈子」で検索してみてください。簡単な実験の方法などが紹介されています。
問1(1) 直方体の上面が水から受ける力は、大気圧と直方体の上側に位置する水に働く重力の合力です。その大きさは(向きは鉛直下向き)、
......[答]直方体の下面が水から受ける力は、大気圧と直方体の下側の深さにおける水圧による力の合力です。その大きさは(向きは鉛直上向き)、
......[答]
(2) 直方体が水から受ける合力は、水平方向では、左側から受ける力と右側から受ける力がつり合い、前側から受ける力と後ろ側から受ける力がつりあうので、0 ......[答]
鉛直方向では、(1)の2力の合力となり、上向きを正として、
合力の向きは、鉛直上向き ......[答] 合力の大きさは、
......[答]
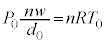
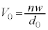
問2(1) 地表で大気の体積を
として、この体積内に存在する大気の質量は
,ここに大気がnモル存在するとして、大気の質量は
です。よって、 です(また気体のモル数は、
で与えられます)。地表での大気の状態方程式:
・・・@
両式より
を消去して、
∴
.......[答]
(2) 気球に働く浮力は、気球内に気球外側の大気があるとしたときの大気に働く重力
に等しく、@より
となるので、
......[答]
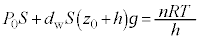
(3) 気球が地表から離れ浮上する瞬間に、気球内の気体(密度を
とします)を含めた気球全体に働く重力
と気球に働く浮力
がつり合います。
∴
......[答]
(4) はじめの気球内の気体(
モル、温度
)の状態方程式:
・・・A地表から離れる瞬間の気体(
モル、温度
)の状態方程式:
・・・BB÷Aより、
∴
......[答]
(5) 気球内の気体の密度をd,温度をTとして気球内の気体を含めた気球全体に働く重力は
です。これが、気球に働く浮力
を上回ると、気球は上昇しません。
・・・C(4)と同様にして、
,
,これをCに代入して、
としてもこれが成り立つためには、
であって、
......[答]
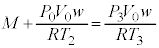
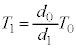
(6) 温度
,
における大気の密度を
,
とすると、体積
内に存在する大気のモル数は
,
です。 温度
における状態方程式:
,
・・・D
温度
における大気の圧力を
として状態方程式:
,
・・・E
気球が静止した高度において、気球内の気体を含めた気体に働く重力
と浮力
とのつり合いより、 D,Eより、

.......[答]
問3(1) 管内の気体が管内の水面から受ける力は、深さ
における水圧に等しく、大気圧による圧力
と、面積S,高さ
の領域内に存在する水にかかる重力の和に等しく、その大きさは、
.......[答]
(2) 管内の気体の圧力を
とすると、状態方程式:
管内の水面が管内の気体から受ける力の大きさは、
......[答]
(3) 管内の水面の位置における力のつり合いより、
・・・F一方、
において管が静止していたことから、管に働く重力
と管に働く浮力
とのつり合いより、
∴ 
Fに代入すると、
.......[答]
(4) F式で左辺の
を大きくすると、
があまり変化しないとすれば右辺のhは減ります。hは減る ......[答] hが減ると、浮力
が小さくなるので、管は沈みます。管は沈む ......[答]
【広告】ここから広告です。ご覧の皆さまのご支援ご理解を賜りたく、よろしくお願いいたします。
【広告】広告はここまでです。
東京科学大物理TOP 物理TOP TOPページに戻る
【広告】ここから広告です。ご覧の皆さまのご支援ご理解を賜りたく、よろしくお願いいたします。
【広告】広告はここまでです。
各問題の著作権は
出題大学に属します。なお、解答は、
苦学楽学塾制作です。©2005-2025(有)りるらる 苦学楽学塾 随時入会受付中!理系大学受験ネット塾苦学楽学塾(ご案内はこちら)ご入会は、
まず、こちらまでメールを
お送りください。