共通テスト数学IA '26年第1問
[1] 全体集合Uを2以上20以下の自然数全体の集合とする。すなわち
である。
2以上9以下の自然数a,bに対して、Uの部分集合A,Bを
とする。
例えば
である。
,
である。
〜
の解答群(同じものを繰り返し選んでもよい。)
(2) a,bが2以上9以下の自然数であることに注意して、a,bについて考えよう。
(i)
の要素に、2の倍数も3の倍数もないとき である。
(ii)
であるとき
,
である。
[2] 以下の問題において比を解答する場合は、最も簡単な整数の比で答えよ。
(1) 四角形ABCDの面積Sについて考えよう。以下では、四角形ABCDの内角
,
,
,
の大きさを、それぞれA,B,C,Dで表す。ただし、四つの内角はいずれも
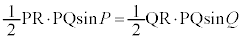
より小さいものとする。 対角線BDを共通の1辺とする△ABDと△BCDの面積を、それぞれ
,
とすると、
,
となる。
四角形ABCDの四つの内角が
を満たすとき、
となる。このとき、
を
を用いて表せることに注意すると
・・・@となる。
〜
の解答群(同じものを繰り返し選んでもよい。)
の解答群
の解答群
(2) 点Oを中心とする半径6の円Oが、線分PQ上のP,Qと異なる点Mにおいて線分PQに接している。P,Qそれぞれを通る円Oの接線で、直線PQと異なるものを引き、この円との接点をそれぞれK,Lとする。以下では直線PK,QLが交わる場合を考え、その交点をRとする。このとき、△PQRの辺の長さについて考えよう。
(i)
,
であるときを考え、
,
とする。このとき、2直線PK,QLの交点Rは直線PQに関して点Oと同じ側にある。四角形PMOKが△PMOと△PKOに分けられることに注意すると、四角形PMOKの面積は
であることがわかる。このことから@を用いると、
となることがわかる。
四角形QLOMについても同様に考えると、
となることもわかる。よって、PR:QR =
:
となり、これにより
と求められるので、△PQRの辺の長さを求めることができる。
【広告】ここから広告です。ご覧の皆さまのご支援ご理解を賜りたく、よろしくお願いいたします。
【広告】広告はここまでです。
解答 [2]は少々悩むかも知れません。特に最後のヒフヘは、どうせ4点で、時間を考えると、パスしてカンでマークする方が賢明です。ヒフヘをネノハと同じマークにした人は本当にラッキーですが、出題に不明朗なものを感じざるを得ません。
[1] Aは、集合Uの要素のうちで、aの因数分解の中に出てくる素数(複数あることもあります)の倍数の集合、Bは、集合Uの要素のうちで、bの因数分解の中に出てくる素数の倍数の集合です(整数を参照)。 (1)
のとき、Aは、Uのうちで3の倍数、つまり、
,
のとき、Bは、Uのうちで2の倍数、つまり、
です。 ア 6 イ 8 ......[答]
は、3と2の公倍数で、
,
は、3の倍数であって偶数でない(つまり奇数)もので、
です。 ウ 3 エ 2 ......[答]
(2)(i)
が2の倍数でも3の倍数でもない、というのは、Aが2の倍数と3の倍数を合わせた集合だということです。つまり、Aは、
より、
と1以外の正の公約数をもつ数の集合だということです。 オ 6 ......[答] (ii)
ということは、Aの要素にも
の要素にも5が含まれるということで、Bは5を含みません。
で、Aが5の倍数の集合だとして、
とすると、
は、5を含むが、10,15,20を含みません。ということは、Bは5を含まず、10,15,20を含みます。こうなるのは(i)より
のときです。 カ 5 キ 6 ......[答]
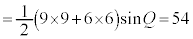
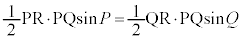
[2](1) 右図より(三角形の面積を参照)、
,
ク 1 ケ 4 ......[答]
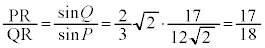
より、
であれば、
です。 コ 4 ......[答]
より、サ 2 ......[答]
△PKO = △PMO=
です。従って、四角形PMOKの面積は、
です。 シ 7 ス 2 ......[答]四角形PMOKは、
より円に内接する(円と図形を参照)ので、
であり、
です。
四角形PMOKの面積△PKM+△OKMが72であることから、 ∴
セ 4 ソ 5 ......[答]四角形QLOMの面積△QLO+△QMO=
についても同様にして、 ∴
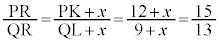
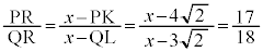
タチ 12 ツテ 13 ......[答]△PQRの面積について、
より、 トナ 15 ニヌ 13 ......[答]
として、
∴ 
∴
ネノ 21 ハ 2 ......[答]
(ii) (i)と同様にして、四角形PMOKは円に内接し、
であり、
です。
四角形PMOKの面積△PKO+△PMOは、
です。
四角形PMOKの面積を△PKM+△OKMと見て、 ∴
四角形QMOLの面積△QLO+△QMOは、
です。
四角形QMOLの面積を△QLM+△OLMと見て、 
ヒフ 21 ヘ 2 ......[答]
【広告】ここから広告です。ご覧の皆さまのご支援ご理解を賜りたく、よろしくお願いいたします。
【広告】広告はここまでです。
数学TOP TOPページに戻る
【広告】ここから広告です。ご覧の皆さまのご支援ご理解を賜りたく、よろしくお願いいたします。
【広告】広告はここまでです。
各問題の著作権は
出題大学に属します。なお、解答は、
苦学楽学塾制作です。©2005-2026(有)りるらる 苦学楽学塾 随時入会受付中!理系大学受験ネット塾苦学楽学塾(ご案内はこちら)ご入会は、
まず、こちらまでメールを
お送りください。