共通テスト数学IA '26年第2問
[1] 2次関数の最大値、最小値について考えよう。
(1) 2次関数
は
において、
で最大値
をとり、
で最小値
をとる。
(2) 太郎さんと花子さんは、(1)を振り返って2次関数の最大値、最小値について話している。
太郎:(1)では、2次関数とxの取り得る値の範囲が与えられて、最大値と最小値を求めることができたね。
花子:じゃあ、xの値の範囲とそのときの最大値と最小値に関数条件が与えられている場合に、条件を満たす2次関数を求めることはできるのかな。具体的な例で考えてみよう。
(i) 2次関数
は次の条件1を満たすとする。
−条件1−−−−−−−−−−−−−−−−−
は
において・
で最大値3をとる。 ・
で最小値
をとる。 −−−−−−−−−−−−−−−−−−−−−
このとき、
の頂点の座標は
であり、 である。
の解答群
(ii) 2次関数
は次の条件2を満たすとする。
−条件2−−−−−−−−−−−−−−−−−
aを正の定数とし、
の
における最大値をM,最小値をmとすると ・
ならば、
である。 ・
ならば、
である。 ・
ならば、
である。 ・
ならば、
である。 −−−−−−−−−−−−−−−−−−−−−
このとき、2次関数
のグラフは
の放物線であり である。
の解答群
下に凸
上に凸
の解答群
(3) 2次関数
は次の条件3を満たすとする。
−条件3−−−−−−−−−−−−−−−−−−
bを定数とし、
の
における最大値をMとすると ・
ならば、
である。 −−−−−−−−−−−−−−−−−−−−−−
太郎さんと花子さんは
について話している。
太郎:(2)の条件1や条件2からは関数が一つに決まったけど、条件3だけでは、
が一つに決まりそうにないね。 花子:でも、
のグラフとx軸の共有点の座標はわかりそうだね。
2次関数
のグラフとx軸の共有点のx座標は
および
である。ただし、
,
の解答の順序は問わない。
[2] 以下の問題を解答するにあたっては、与えられたデータに対して、次の値を外れ値とする。
−−−−−−−−−−−−−−−−−−−−−−−
「(第1四分位数)−1.5×(四分位範囲)」以下の値
「(第3四分位数)+1.5×(四分位範囲)」以上の値
−−−−−−−−−−−−−−−−−−−−−−−
水泳部に所属する太郎さんは、1500m自由形におけるペース配分を考えるために、2021年に開催された東京オリンピックの男子1500m自由形に関するデータを分析することにした。なお、自由形とは、どのような泳ぎ方で泳いでもよい競技のことである。
分析で用いるデータは、28人の選手における、予選で計測された記録(以下、タイム)とする。ここでは、タイムは秒単位で表すものとする。例えば、15分23秒46であれば、
(秒)である。そして、公式順位(以下、順位)は、タイムの値が小さい方が上位となる。また、28人の選手それぞれのタイムについて、スタートから750mまでのタイムを
とし、750mからゴールまでのタイムを
とする。さらに、
と
の平均値を
とする。
(1) 太郎さんは、
,
,
の関係を調べることにした。図1は
と
の散布図、図2は、
と
の散布図である。なお、これらの散布図には、完全に重なっている点はない。また、図1と図2において、Aを付している点は、同じ選手であることを表している。
次の(a),(b)は、図1と図2に関する記述である。
(a)
が470秒未満である選手について、
が460秒以上である選手の人数と、
が460秒以上である選手の人数は等しい。 (b) Aを付している点が表す選手について、
の値は
の値より小さく、かつ
の値は
の値より大きい。 (a),(b)の正誤の組み合わせとして正しいものは
である。
の解答群
(2) 太郎さんは、
と
の相関係数を計算するために、表1のように、平均値、標準偏差および共分散を求めた。 表1
と
の平均値、標準偏差、共分散
| | 平均値 | 標準偏差 | 共分散 |
| 450 | 8.3 | 72.9 |
| 453 | 9.3 |
表1を用いると、
と
の相関係数は
である。
については、最も適当なものを、次の
〜
のうちから一つ選べ
0.01
0.24
0.47
0.59
0.72
0.83
0.94
1.06
1.38
4.14
(3) 太郎さんは、順位とペース配分の関係を調べるために、前半と後半という二分割だけではなく、より細かく分割されたタイムを用いて分析することにした。1500m自由形のタイムは、スタートから50mまでのタイム、50mから100mまでのタイムのように、ゴールまで50mごとの30個に分けて計測されている。そこで、これら30個のタイムを用いて分析する。
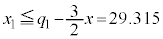
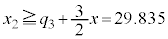
(i) 1位の選手の30個のタイムについて考えると、外れ値かどうかを判断する二つの値である29.315と29.835が算出され、29.315以下の2個のタイムと29.835以上の1個のタイムが外れ値と判断された。このとき、1位の選手の30個のタイムの四分位範囲は0.
秒である。
(ii) 太郎さんは28人の選手それぞれについて、30個のタイムを用いて、選手ごとの箱ひげ図を作成し、分散を計算した。図3は上から分散が小さくなるように、28人の選手それぞれの箱ひげ図を並べたものであり、30個のタイムにおける外れ値は、白丸で示されている。なお、分散が等しい選手はいなかった。
次の(a),(b)は、図3に関する記述である。
(a) 28人の選手について、29秒より速いタイムはすべて外れ値である。
(b) 28人の選手から2人を選んだとき、分散の大きい選手の四分位範囲は、分散の小さい選手の四分位範囲より小さいことがある。
(a),(b)の正誤の組み合わせとして正しいものは
である。
の解答群
(iii) 順位が1位から8位までの選手のグループを決勝進出グループ、9位から28位までの選手のグループを予選敗退グループと呼ぶことにする。決勝進出グループであり、かつ30個のタイムの分散が小さい方から14番目までの選手の人数をn(人)とすると、表2のようになる。
表2 順位と分散の表
| | 分散(小さい順) | 計 |
| 1番〜14番 | 15番〜28番 |
| 順位 | 決勝進出グループ | n |  | 8 |
| 予選敗退グループ |  |  | 20 |
| 計 | 14 | 14 | 28 |
このとき、図3から
であることがわかる。このことから、決勝進出グループにおいて分散が小さい方から14番目の選手が占める割合をP,予選敗退グループにおいて分散が小さい方から14番目までの選手が占める割合をQとすると、
であることがわかる。
の解答群
<
=
>
【広告】ここから広告です。ご覧の皆さまのご支援ご理解を賜りたく、よろしくお願いいたします。
【広告】広告はここまでです。
解答 [1]の2次関数は、聞き方が頻出問題と違う角度からなのでやや戸惑うかも知れません。[2]は基本的で平易、小学生でも答えられそうです。
[1](1)
のグラフは、
を軸とする放物線で、軸位置は、範囲
の右側にあります。よって、
で最大値
をとり、
で最小値
を取ります(2次関数の最大最小を参照)。 ア 0 イ 5 ウ 2 エオ −3 ......[答]
(2)(i) 最大値を取る位置が範囲
の内側なので、2次関数の軸位置は
で、最大値が3なので、頂点の座標は
です。 カ 3 ......[答]
∴ 
キク −2 ケ 4 コ 1 ......[答]
(ii)
ならば
なので、
は
で最小値をとる2次関数でそのグラフは下に凸です。 サ 0 ......[答] グラフは
に関して対称で、
ならば
,
ならば
より、
です。
とおくと、
∴ 
シ 6 ......[答]
(3)
のとき、例えば、
のとき、
における最大値Mは
であり、
のとき、例えば
のとき
における最大値Mは
であり、
のとき、例えば
のとき
における最大値Mは
なので、
のグラフは上に凸な放物線です。
のとき、
において最大値Mは
,bが1より少しでも小さくなると、
における最大値Mは
です。xが2より少し大きいと
,
なら
,つまり、
において
の符号が変わることがわかります(2次方程式の解の配置を参照)。
同様に、
のとき、
において最大値Mは
,bが7より少しでも大きくなると、
における最大値Mは
です。xが6より少し大きいと
,
なら
,つまり、
において
の符号が変わることがわかります。
即ち、
のグラフとx軸の共有点のx座標は、2と6です。 ス 2 セ 6 ......[答]
[2] 外れ値は、第1四分位数を
,第3四分位数を
とすると、四分位範囲は
なので、「(第1四分位数)−1.5×(四分位範囲)」以下の値
は、
・・・@「(第3四分位数)+1.5×(四分位範囲)」以上の値
は、
・・・Aを満たします。
(1)(a) 図1を見ると、
かつ
を満たす選手は7人です。図2を見ると、
かつ
を満たす選手は3人です。両者は等しくありません。誤りです。 (b) 図1,図2を見ると、選手Aは
,
,
です。
となり、正しい。 ソ 2 ......[答]
(2)
と
の相関係数rは、
,
の標準偏差を
,
,共分散を
として、 タ 6 ......[答]
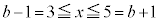
(3)(i) 四分位範囲をxとすると、上記の
,
を用いて、
,
です。 @より、
Aより、
辺々引くと、
∴
チツ 13 ......[答]
(ii)(a) 図3を見ると、上から26番目の17位の選手までは、29秒より速いタイムはすべて外れ値ですが、上から27番目の26位の選手と上から28番目の21位の選手については、最小値は28秒よりも小さいのに白丸がついておらず、外れ値になっていません。ということは、29秒よりも速いタイムがすべて外れ値とは言えません。誤りです。
(b) 4位の選手と12位の選手、9位の選手と20位の選手、7位の選手と5位の選手、11位の選手と22位の選手を見ると、分散の大きい選手の四分位範囲が、分散の小さい選手の四分位範囲よりも小さくなっています。正しい。
テ 2 ......[答]
(iii) 決勝進出グループ(1位〜8位)のうち14番目までに7選手が入り、15番〜28番に7位の選手1人が入ります。よって、表2より、
です。 ト 7 ......[答] 決勝進出グループでは、8人中、7位の選手を除く7人が分散の小さい方から14番目までに入っています。
です。
予選敗退グループでは、20人中、14位、12位、20位、9位、19位、15位、24位の7選手が14番目までに入っています。
です。
よって、
です。 ナ 2 ......[答]
【広告】ここから広告です。ご覧の皆さまのご支援ご理解を賜りたく、よろしくお願いいたします。
【広告】広告はここまでです。
数学TOP TOPページに戻る
【広告】ここから広告です。ご覧の皆さまのご支援ご理解を賜りたく、よろしくお願いいたします。
【広告】広告はここまでです。
各問題の著作権は
出題大学に属します。なお、解答は、
苦学楽学塾制作です。©2005-2026(有)りるらる 苦学楽学塾 随時入会受付中!理系大学受験ネット塾苦学楽学塾(ご案内はこちら)ご入会は、
まず、こちらまでメールを
お送りください。