共通テスト数学IIBC '26年第7問
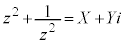
zを0でない複素数とし、
とする。また、rを正の実数とし、複素数平面上で、原点Oを中心とする半径rの円をCとする。
(1)
のとき、
であり である。
(2) zがC上を動くとき、wが複素数平面上で描く図形を考える。
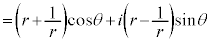
実数θをzの偏角とし、極形式を用いて
と表す。
(i)
をr,θを用いて表すと
・・・@である。したがって、θの値によらず
となるようなrの値は
である。
,
の解答群(同じものを繰り返し選んでもよい。)
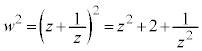
(ii)
とする。zがC上を動くとき、wが描く図形は
である。 
については、最も適当なものを、右の
〜
のうちから一つ選べ。
(iii)
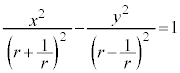
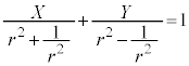
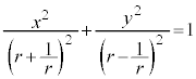
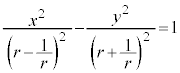
とする。x,yを実数として
とおくと、@から
,
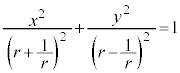
・・・Aが成り立つ。Aの二つの式からθを消去すると、x,yは
を満たし、zがC上を動くとき、
は
の表す図形を描く。
の解答群
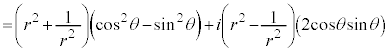
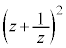
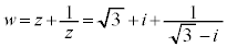
(3)
とする。zがC上を動くとき、
が描く図形を考えよう。 (i)
をzを用いて表すと、
である。
の解答群
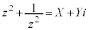
(ii) zがC上を動くとき、
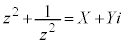
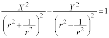
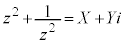
が描く図形の方程式を考える。このとき、
は原点Oを中心とする半径
の円を描く。このことから、X,Yを実数として
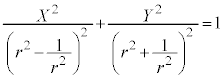
とおくと、X,Yは
を満たす。以上を踏まえると、
の描く図形は
であることがわかる。
の解答群

については、最も適当なものを、右の
〜
のうちから一つ選べ。
【広告】ここから広告です。ご覧の皆さまのご支援ご理解を賜りたく、よろしくお願いいたします。
【広告】広告はここまでです。
解答 複素数平面上で円上の点を表す複素数zとその逆数
の和
,和の2乗
がどんな図形を描くか、を考える問題です。
(1)
のとき、
ア 2 ......[答]
イ 5 ウ 3 エ 4 オ 3 カ 4 ......[答]
(2)(i) 原点Oを中心とする半径r(
)の円C上の点zは、
を満たします(複素数平面を参照)。zは極形式で、

・・・Bキ 6 ク 9 ......[答]θの値によらず、
となるようなrの値は、
,
より、
ケ 1 ......[答] (ii)
のとき、Bは、
,wは実数で
より、
です。wが描く図形は、実軸の
の部分です。 コ 1 ......[答]
(iii)
のとき、
とおくと、Bより、
,
・・・A
を用いてθを消去すると、サ 2 ......[答]
(3)
で、zが円C上を動くとき、 (i)
・・・C シ 3 ......[答]
(ii) Cの右辺の中で、
とおくと、 注.ここで、ド・モアブルの定理:
(複号同順)を使う手もあります。 ス 2 ......[答]
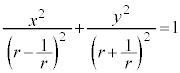
の描く図形は、
より、長軸
,短軸
の楕円です。この長軸は、
(等号成立は
のとき、不等式の証明を参照),
より、
・・・D
の描く図形は、
の描く図形を実軸正方向に2だけ平行移動させた図形で、楕円の中心は実軸上の2に来ます。このとき、Dより、長軸の左側の端点は、y軸(
)よりも左側に来ます。つまり、楕円はy軸と交わります。こうなっているグラフは
です。 セ 3 ......[答]
【広告】ここから広告です。ご覧の皆さまのご支援ご理解を賜りたく、よろしくお願いいたします。
【広告】広告はここまでです。
数学TOP TOPページに戻る
【広告】ここから広告です。ご覧の皆さまのご支援ご理解を賜りたく、よろしくお願いいたします。
【広告】広告はここまでです。
各問題の著作権は
出題大学に属します。なお、解答は、
苦学楽学塾制作です。©2005-2026(有)りるらる 苦学楽学塾 随時入会受付中!理系大学受験ネット塾苦学楽学塾(ご案内はこちら)ご入会は、
まず、こちらまでメールを
お送りください。