共通テスト数学IA '26年第3問
空間内に、
,
である二等辺三角形ABCがある。△ABCの内心をIとし、△IBCの重心をGとする。Gを通り、△ABCを含む平面と垂直な直線上に、Gと異なる点Pがある。このとき、△ABCを底面とする三角錐PABCについて考えよう。
直線AIと辺BCの交点をDとし、また、辺PA上の点Eは、
を満たしているとする。なお、以下の問題において比を解答する場合は、最も簡単な整数の比で答えよ。
(1) 直線BIが
ことに注意すると、△ABDにおいて線分AIとIDの長さの比を求めることができる。よって、線分ADの長さに着目すると
,
であることがわかる。また、4点E,I,D,
は同一円周上にある。よって であることがわかる。
の解答群
直線ACと垂直に交わる
直線ACとねじれの位置にある
を2等分する
辺ACの中点を通る
の解答群
(2) 線分PIとDEの交点をFとする。このとき、線分IFとFPの長さの比と、三角錐PABCび体積との関係について考えよう。
(i) 次の仮定1のもとで三角錐PABCの体積
について考える。
−仮定1−−−−−−−−−−−−−−−−−
線分IFとFPの長さの比がIF:FP = 3:2である。
−−−−−−−−−−−−−−−−−−−−−
このとき
PE:EA =
:
であるから、(1)での考察に注意すると、
となる。
したがって、直線PGが△ABCを含む平面に垂直であることに注意すると、
であることがわかる。
(ii) (i)の仮定1の代わりに次の仮定2をおき、三角錐PABCの体積の変化について考える。
−仮定2−−−−−−−−−−−−−−−−−
線分IFとFPの長さの比がIF:FP = 1:3である。
−−−−−−−−−−−−−−−−−−−−−
仮定2のもとでの三角錐PABCの体積
を、(i)で求めた
と比較すると、
と
の比は であるから、
。
の解答群
【広告】ここから広告です。ご覧の皆さまのご支援ご理解を賜りたく、よろしくお願いいたします。
【広告】広告はここまでです。
解答 立体図形と平面図形がからみあっていて、気づきにくい部分もあります。試験場で落ち着いて、きちんとした図を描くことが大切です。
△ABCは二等辺三角形なので、ADは、
の二等分線であると同時に、DはBCの中点で、
です。また、
は直角で、三平方の定理より、
です。
(1) 直線BIは
の二等分線です(三角形の五心を参照)。 ア 2 ......[答] これより、BA:BD = AI:ID = 10:6,よって、
,
です。 イ 5 ウ 3 ......[答]
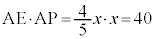
なので、円周角の定理の逆より、四角形EIDPは円に内接する四角形です。 エ 4 ......[答]方べきの定理より、
・・・@
オカ 40 ......[答]
よって、
∴
キ 1 ク 4 ......[答]
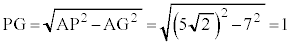
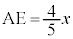
とすると
,@より、
∴
ケ 5 コ 2 ......[答]
Gは△IBCの重心なので、IG:GD = 2:1です。
なので、
であり、
です。三平方の定理より、
△ABCの面積は、
三角錐PABCの体積
は、
サシ 16 ......[答]
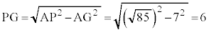
とすると
,@より、
∴
三平方の定理より、
△ABCの面積は48で
と変わらず、
:
= 6:1 ス 6 セ 1 ......[答]
です。 ソ 2 ......[答]
【広告】ここから広告です。ご覧の皆さまのご支援ご理解を賜りたく、よろしくお願いいたします。
【広告】広告はここまでです。
数学TOP TOPページに戻る
【広告】ここから広告です。ご覧の皆さまのご支援ご理解を賜りたく、よろしくお願いいたします。
【広告】広告はここまでです。
各問題の著作権は
出題大学に属します。なお、解答は、
苦学楽学塾制作です。©2005-2026(有)りるらる 苦学楽学塾 随時入会受付中!理系大学受験ネット塾苦学楽学塾(ご案内はこちら)ご入会は、
まず、こちらまでメールを
お送りください。