慶大理工数学'25年[3]
点P,Qを数直線の原点におき、1個のさいころを投げて出た目に応じてP,Qを動かす。偶数の目が出たときはPを正の向きに1だけ動かし、5または6の目が出たときはQを正の向きに1だけ動かす。たとえば、6の目が出たときはP,Qをともに正の方向に1だけ動かす。PとQの距離が初めて2となるまでさいころを投げ続けることとし、PとQの距離が2となったら、それ以降はさいころを投げない。n回さいころを投げてPとQの距離が2となる確率を
とする。
(1)
である。 (2) n回さいころを投げて、PがQよりも正の向きに1だけ進んでいる確率を
,PとQが同じ位置にある確率を
,QがPよりも正の向きに1だけ進んでいる確率を
とすると という関係式が成立する。また、
が成り立つ。ただし、
〜
には数を記入すること。 (3) 関係式
(4)
をnを用いて表すと
となる。
【広告】ここから広告です。ご覧の皆さまのご支援ご理解を賜りたく、よろしくお願いいたします。
【広告】広告はここまでです。
解答 確率をネタとした連立漸化式の問題ですが、ややひねられていて、問題文の誘導に沿って考える必要があります。
(1) 2回さいころを投げて、PとQの距離が2になるのは、
または
が2回続けて出てPが2に来てQが原点にいるか、
が2回続けて出てQが2に来てPが原点にいる場合です。その確率
は、
......[シ](2)
回さいころを投げて、PとQが同じ位置にあるのは、n回さいころを投げて、PがQよりも1だけ進んでいて(確率
)
が出る(確率
,Pは動かず、Qが1進む)か、PとQが同じ位置にいて(確率
)
または
または
が出る(確率
,PとQはともに動かないか、ともに1ずつ進む)か、QがPよりも1だけ進んでいて(確率
)
または
が出る(確率
,Qは動かず、Pが1進む)ときで、その確率
は、
・・・@
......[ス]
......[セ]
......[ソ]点P,Qが原点にいるとき、1回さいころを投げて
または
が出るとPはQより1進むので
,
または
または
が出るとPとQはともに動かないか、ともに1ずつ進み、PとQは同じ位置に来るので
,
が出るとQはPより1進むので
です。 ・・・(*)このとき
です。試験会場ではこの時点で(タ)を2とすればよいのですが、確かめてみます。
回目までで、
・・・Aだったとします。このときPがQよりも1進んでいて
または
または
が出るか、PとQが同じ位置にいて
または
が出ると、
回目まででPがQよりも1進みます。その確率
は、
・・・B
回目で、PとQが同じ位置にいて
が出るか、QがPよりも1進んでいて
または
または
が出ると、
回目まででQがPよりも1進みます。その確率
は、
・・・CBにAを代入すると、
・・・DC,Dを比較して、
よって数学的帰納法より、
に対して、
・・・E
となります。2 ......[タ] (3) @にEを代入すると、
・・・FCのkをnに入れ替えて、
・・・GG+k×Fとすると、
のとき、
のとき、
よって、
の組は、
,
......[チ][ツ] (4) (3)より、
・・・H
・・・I(*),Hより、数列
は、初項
,公比
の等比数列です。よって、
・・・J(*),Iより、数列
は、初項
,公比
の等比数列です。よって、
・・・KJ+Kより、
,
回さいころを振ってPとQの距離が2となるのは、n回目までで、PがQより1進んでいて
または
が出るか、QがPより1進んでいて
が出るときで、その確率
は、Eを用いて、
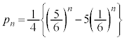
をnとして、
......[テ]
より、
のときもこれでOKです。
【広告】ここから広告です。ご覧の皆さまのご支援ご理解を賜りたく、よろしくお願いいたします。
【広告】広告はここまでです。
慶大理工数学TOP 数学TOP TOPページに戻る
【広告】ここから広告です。ご覧の皆さまのご支援ご理解を賜りたく、よろしくお願いいたします。
【広告】広告はここまでです。
各問題の著作権は
出題大学に属します。なお、解答は、
苦学楽学塾制作です。©2005-2025(有)りるらる 苦学楽学塾 随時入会受付中!理系大学受験ネット塾苦学楽学塾(ご案内はこちら)ご入会は、
まず、こちらまでメールを
お送りください。