早大理工数学'25年[3]
1からnまでの異なる自然数が1つずつ書かれたn枚のカードが一列に並んでいる。このとき、どのカードも現在とは異なる位置に移動するように並べ替えてできる順列の総数を
で表し、並べ方の総数
に占める
の割合を
で表す。例えば、
,
,
,
,
,
である。次の問に答えよ。
(1)
の値を求めよ。 (3)
のとき、
をnを用いて表せ。
【広告】ここから広告です。ご覧の皆さまのご支援ご理解を賜りたく、よろしくお願いいたします。
【広告】広告はここまでです。
解答 難しかった共通テスト数学IA22年第3問を思い出しますが、それよりもさらに難しくなっています。
(1) 1から4までの自然数が書かれたカードの並べ方は
通りあります(順列を参照)。4種類のカードのうち1枚だけ位置が変わらない並べ方は、変わらない1枚の選び方が4通り、3枚が異なる位置に移動するのが
通りで、
通りあります。4種類のカードのうち2枚だけ位置が変わらない並べ方は、2枚の選び方が
通り、2枚が異なる位置に移動するのが
通りで、
通りあります。4枚のカードすべて位置が変わらないのは1通り。よって、
......[答] 別解.1から4までの自然数が書かれたカードを
,
,
,
とします。どのカードも現在とは異なる位置に移動する仕方を2通りに分けます。 (i) 現在位置で
と、
,
,
のいずれか(3通り)の2枚の位置を入れ替えます。
と
を入れ替えた場合、残りは
,
の2枚で2枚を異なる位置に移動させるのが
通り、
と
を入れ替えた場合も
と
を入れ替えた場合も
通り、この場合は、
通りあります。 (ii)
,
,
を現在とは異なる位置に移動させた(
通り)後に、
の位置(元の
の位置とは異なることに注意)に
を置き、
の位置に
を置くのは
通りあります。
の位置と
の位置の入れ替えも、
の位置と
の位置の入れ替えも
通りです。この場合は、全部で
通りあります。 (i)と(ii)には重複がなく、また(i)と(ii)で、どのカードも現在とは異なる位置に移動するように並べ替えるすべての場合になります。よって、
通り。 (2) 上記の別解の方法で考えます。
のとき、1からnまでの自然数が書かれたカードを
,
,・・・,
とします。 (i) 現在位置で
と、
,・・・,
のいずれか(
通り)の2枚の位置を入れ替えます。残る
枚の位置を入れ替えるのが
通りあります。
と
を入れ替えてから残る
枚の位置を入れ替えるのは、
と
〜
のどれかを入れ替えてから、残る
枚の位置を入れ替える場合に含まれます。
と
,
と
などの場合も同様です。この場合は、
通りあります。 (ii)
,
,・・・,
から
(
)を除いた
枚を現在とは異なる位置に移動させた(
通り)後に
の位置(元の
の位置とは異なることに注意)に
を置き、
の位置に
を置くのは
通りあります。この
の選び方は
通りあり、全部で
通りあります。 (i)と(ii)には重複がなく、また(i)と(ii)で、どのカードも現在とは異なる位置に移動するように並べ替えるすべての場合になります。よって、
......[答] (3) (2)の結果を用いて、
のとき、
と
の関係を調べてみます。 
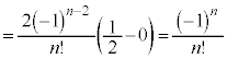
・・・@
・・・A@,Aを見比べて、
よって、
【広告】ここから広告です。ご覧の皆さまのご支援ご理解を賜りたく、よろしくお願いいたします。
【広告】広告はここまでです。
早大理工数学TOP 数学TOP TOPページに戻る
【広告】ここから広告です。ご覧の皆さまのご支援ご理解を賜りたく、よろしくお願いいたします。
【広告】広告はここまでです。
各問題の著作権は
出題大学に属します。なお、解答は、
苦学楽学塾制作です。©2005-2025(有)りるらる 苦学楽学塾 随時入会受付中!理系大学受験ネット塾苦学楽学塾(ご案内はこちら)ご入会は、
まず、こちらまでメールを
お送りください。