共通テスト数学IIBC '26年第3問
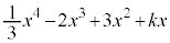
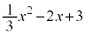
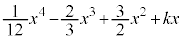
(1) kを実数とし、3次関数
を考える。 (i)
である。
のとき、
は極大値
をとる。
のとき、
は極小値
をとる。
の解答群
,
の解答群(同じものを繰り返し選んでもよい。)
(ii)
のグラフを概形は である。

,
については、最も適当なものを、右の
〜
のうちから一つずつ選べ。ただし、同じものを繰り返し選んでもよい。
(iii) (i)で求めた
,
のうち、小さい方の数をaとする。
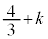
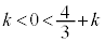
を満たすようなkの値の範囲は
である。 kは
を満たすとする。
の範囲において、
を満たすxの値をβとおく。
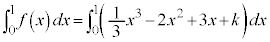
の範囲における
のグラフとx軸およびy軸で囲まれた部分の面積と、
の範囲における
のグラフとx軸および直線
で囲まれ部分の面積が等しいとする。
このとき、
が成り立つ。したがって、
である。
,
の解答群(同じものを繰り返し選んでもよい。)
の解答群
(2) 3次関数
に対して、与えられた条件のもので
のグラフの概形を考えよう。
・次の条件(a)を考える。
条件(a)
かつ
である。 後の
〜
のうち、条件(a)を満たす関数
のグラフの概形は
,
,
の三つであり、残りの五つは条件(a)を満たさない。ただし、
,
,
の解答の順序は問わない。
・条件(a)に加えて、次の条件(b)を考える。
条件(b)
のグラフは直線
を軸とする放物線である。 後の
〜
のうち、条件(a),(b)をともに満たす関数
のグラフの概形は
,
の二つであり、残りの六つは条件(a),(b)の少なくとも一方を満たさない。ただし、
,
の解答の順序は問わない。
・条件(a),(b)に加えて、次の条件(c)を考える。
条件(c)
のグラフは下に凸の放物線である。 後の
〜
のうち、条件(a),(b),(c)のすべてを満たす関数
のグラフの概形は
の一つだけである。 
〜
については、最も適当なものを、右の
〜
のうちから一つずつ選べ。ただし、同じものを繰り返し選んでもよい。
【広告】ここから広告です。ご覧の皆さまのご支援ご理解を賜りたく、よろしくお願いいたします。
【広告】広告はここまでです。
解答 煩雑な計算をしなくてよいように工夫されていて、数学の真の実力が現れる問題です。
(1) 
(i)
を微分すると、
ア 2 ......[答]
とすると、
,
より、増減表は、
増減表より、
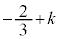
は
のとき、極大値
をとり、
のとき、極小値kをとります。 イ 1 ウ 9 エ3 オ5 .......[答](ii) 増減表のようになっているグラフ(極大が極小の左にある)の中から選びます。
のとき、極小値は0になるので、
のグラフは
においてx軸と接します。 カ 2 ......[答]
のとき、極小値は正です。 キ 0 ......[答]
ク 8 ケ 0 ......[答]
より、
のグラフは
においてx軸と交わります。このx座標がβです。
において
,
において
であることに注意します。
の範囲における
のグラフとx軸およびy軸で囲まれる部分の面積は、
です。
の範囲における
のグラフとx軸および直線
で囲まれる部分の面積は、
です。両者が等しいので、 ∴
(定積分を参照)つまり、
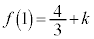
です。 コ 1 ......[答]
なので、 ∴
サシス
セソ 12 ......[答]
(2) 条件(a)は、グラフが原点を通り、かつ、原点においてグラフが右上がりになっていることを言っています。そうなっているグラフは、
,
,
です。 タチツ 1, 2, 4 ......[答] 条件(b)は、条件(a)に加えて、
として、
における
の接線の傾きと
における
の接線の傾きが等しいことを言っています。そうなっているグラフは、
,
です。 テト 1, 4 ......[答]条件(c)は、条件(a),(b)に加えて、
においては、
のグラフの接線の傾きが、xが大きくなるのに従って次第に小さくなり、
においては、xが大きくなるのに従って次第に大きくなることを言っています。そうなっているグラフは、
です。 ナ 4 ......[答]
【広告】ここから広告です。ご覧の皆さまのご支援ご理解を賜りたく、よろしくお願いいたします。
【広告】広告はここまでです。
数学TOP TOPページに戻る
【広告】ここから広告です。ご覧の皆さまのご支援ご理解を賜りたく、よろしくお願いいたします。
【広告】広告はここまでです。
各問題の著作権は
出題大学に属します。なお、解答は、
苦学楽学塾制作です。©2005-2026(有)りるらる 苦学楽学塾 随時入会受付中!理系大学受験ネット塾苦学楽学塾(ご案内はこちら)ご入会は、
まず、こちらまでメールを
お送りください。