東大理系数学'25年前期[3]
平行四辺形ABCDにおいて、
,
,
,
とする。次の条件を満たす長方形EFGHを考え、その面積をSとする。
条件:点A,B,C,Dはそれぞれ辺EF,FG,GH,HE上にある。ただし、辺はその両端の点も含むものとする。
(1)
とするとき、Sをa,b,θを用いて表せ。
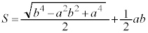
(2) Sのとりうる値の最大値をa,bを用いて表せ。
【広告】ここから広告です。ご覧の皆さまのご支援ご理解を賜りたく、よろしくお願いいたします。
【広告】広告はここまでです。
解答 合成すればすぐに最大値を求められそうですが、正弦の値が1になり得るかどうか、ということが本問では簡単な話ではありません。また、以下の解答ではa,bの2変数関数が出てきます。東大では、2変数関数は頻出テーマです。2変数のうち片方を固定しておいて、他方を動かして最大最小を考え、さらに固定しておいた方を動かす、という解法をとることが多いのですが、以下では、a,bの同次式(aについてもbについても2次式)では
などとおくとt の1変数関数として扱える、という技巧を用いて解答しています。
右図より、
,
,
,
,
よって、
,
(1) 
(2)
(三角関数の合成を参照)
より、
・・・@ここにδ は、以下を満たす角。
,
・・・Aここで、問題文の条件より、
,
,つまり、
・・・B
Aより、
・・・C
ですが、
・・・D
とおくと、
であって、
より
です。 ここで、
・・・E
とおくと、 より、
は、
においてt の単調減少関数で、
,
より
,つまり
∴
・・・F
Bより
,
・・・G
@を見ると、
,つまり、
のときに最大になりそうなのですが、δが小さいときに、
になったとしても、
が
よりも小さく、Bの範囲のすべてのθについて、
となることがあり得ます。Gの範囲の中に
が含まれるのですが、Gは、
になる場合が必ずある、と言っているわけではありません。
のとき、θがBを満たすどんな値をとっても、
です。そこでFを、
のときと、
のときに分けて考えます。 Dより、
,つまり、
・・・H
このときは、
であり、Cよりa,bが与えらればδは定数であり、このとき@はθの増加関数なので、
のときS最大となります。(1)の結果で
として、 
・・・Iこのときは、
,
のとき、
,即ち
となり得ます。よって、
のときS最大となります。@で
として、
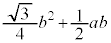
・・・KH,I,J,Kより、Sのとりうる値の最大値は、
・
のとき
・
のとき
......[答]
【広告】ここから広告です。ご覧の皆さまのご支援ご理解を賜りたく、よろしくお願いいたします。
【広告】広告はここまでです。
東大理系数学TOP 数学TOP TOPページに戻る
【広告】ここから広告です。ご覧の皆さまのご支援ご理解を賜りたく、よろしくお願いいたします。
【広告】広告はここまでです。
各問題の著作権は
出題大学に属します。なお、解答は、
苦学楽学塾制作です。©2005-2025(有)りるらる 苦学楽学塾 随時入会受付中!理系大学受験ネット塾苦学楽学塾(ご案内はこちら)ご入会は、
まず、こちらまでメールを
お送りください。