東大理系数学'26年前期[4]
kを実数とし、座標平面上の曲線Cを
で定める。C上の2点P,Qに対する以下の条件(*)を考える。
条件(*) 原点O,点P,点Qは相異なり、CのO,P,Qにおける接線のうち、どの2本も交わり、そのなす角はすべて
となる。 ただし、2直線のなす角は0以上
以下の範囲で考えるものとする。
(1) 条件(*)を満たすP,Qが存在するようなkの範囲を求めよ。
(2) kが(1)で定まる範囲にあるとする。P,Qが条件(*)を満たすように動くとき、CのO,P,Qにおける接線によって囲まれる三角形の面積Sの最大値をM,最小値をmとおく。ただし、3本の接線が1点で交わるときは
とする。
となるkの値を求めよ。
【広告】ここから広告です。ご覧の皆さまのご支援ご理解を賜りたく、よろしくお願いいたします。
【広告】広告はここまでです。
解答 (2)の問題文に惑わされないように注意しましょう。Sの最大値、最小値を求めよ、という問題と勘違いすると、あれっ、存在しない、ということになってしまいます。もう一つパラメータを入れて最大最小の問題にしてしまうと厳しすぎる、ということで妥協して解ける問題にしてくれたのでしょう。
C:
微分すると、
・・・@
原点Oにおける接線の傾きは、@で
として、
@を見ていると、この原点Oにおける接線の傾き
が、Cの接線の傾きの最小値であり、原点O以外の点の接線の傾きは
よりも大きな値だと分かります。つまり、O,P,Qは相異なるので、Pにおける接線、Qにおける接線の傾きは
よりも大きな値です。 ・・・A
原点Oにおける接線とx軸とのなす角を、x軸正方向から反時計回りにθだとすると、
です。
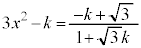
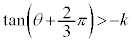
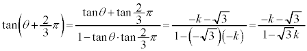
(1) Pにおける接線と、原点Oにおける接線lとのなす角が
のとき、Pにおける接線の傾きは、 Aより、
なので、 分子は正なので、分母も正で、
∴
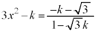
・・・B
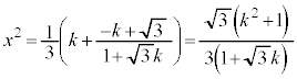
点Pは接線の傾き
が
となる位置で、そのx座標は、
より、
・・・CBが満たされていれば、Cを満たす
以外のxが存在します。Qにおける接線と、原点Oにおける接線lとのなす角が
のとき、Qにおける接線の傾きは、 Aより、
なので、 分子は正なので、分母も正で、
∴
・・・D
点Qは接線の傾き
が
となる位置で、そのx座標は、
より、
・・・EDが満たされていれば、Eを満たす
以外のxが存在します。また、
より、CとEは異なり、PとQも異なる点です。
条件(*)を満たすP,Qが存在するようなkの範囲は、BかつDより、
......[答]
(2) 条件(*)を満たすようにO,P,Qにおける接線を引くと、3本の接線で囲まれる三角形は、3つの内角がいずれも
で、正三角形です。正三角形の1辺の長さをdとすると正三角形の高さは
で、正三角形の面積Sは、
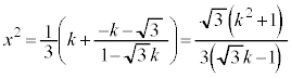
のとき正三角形の面積が最大値Mになるとすると、
のとき正三角形の面積が最小値mになるとすると、
のとき、
∴
・・・F
つまり、面積を考えるのではなく、1辺の長さでFを考えればよいわけです。1辺の長さを調べるために、接線同士の交点を調べます。
原点Oにおける接線は、傾きが
なので、
・・・G
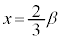
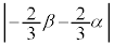
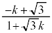
点Pにおける接線ですが、Cを満たすxは2通りあります。正の方をαとすると、−αもCを満たします。このとき、
・・・Hつまり、C上の点Pが、
にあっても、
にあっても、点Pにおける接線は、傾きが
であり、Gとのなす角が
になります。
点
における接線は、 
・・・I点
における接線は、
・・・J点Qにおける接線についても、Eを満たすxは2通りあり、正の方をβとすると、−βもEを満たします。このとき、
・・・KC上の点Qが
にあっても、
にあっても、点Qにおける接線は、傾きが
であり、Gとのなす角は
(
)です。
点
における接線は、
・・・L点
における接線は、
・・・M接線同士の交点間距離を求めて、正三角形の一辺の長さを調べればよいのですが、正三角形の3辺の長さは等しいので、1つの接線(Gを選びます)と他の2本の接線との交点の交点間距離を調べれば十分です。
さらに、3次曲線C:
は、原点に関して線対称であり、IとJ,LとMも原点に関して線対称であり、原点Oにおける接線Gも原点に関して線対称なので、「G,Iの交点と、G,Lの交点との距離」は、「G,Jの交点と、G,Mの交点との距離」と等しくなります。同様に、「G,Iの交点と、G,Mの交点との距離」は、「G,Jの交点と、G,Lの交点との距離」と等しくなります。つまり点Pにおける接線がIとJの2通り、点Qにおける接線がL,Mの2通りで、接線Gとの組み合わせ方が4通りあるのですが、Gとの交点を考えるとき、Iの交点とLとの交点、Jの交点とLの交点を調べれば十分です。
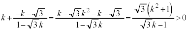
GとIを連立すると、 原点Oにおける接線Gと点
における接線Iとの交点のx座標は
です。
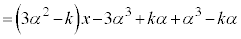
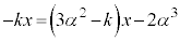
GとJを連立すると、
∴ 
原点Oにおける接線Gと点
における接線Jとの交点のx座標は
です。
GとLを連立すると、 原点Oにおける接線Gと点
における接線Lとの交点のx座標は
です。
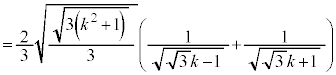
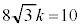
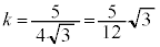
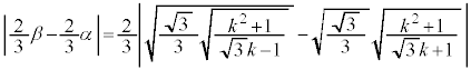
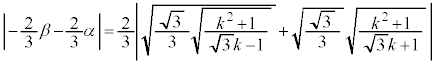
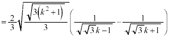
正三角形の1辺の長さは、交点間距離に
をかけたものになりますが、交点間距離は、上記2通り(G,Iの交点とG,Jの交点の距離、G,Iの交点とG,Lの交点の距離)のいずれもGとの交点で考えるので、ともに交点間距離に
をかけたものになり、Fを交点間距離で考えても同じ結果となります。交点間距離は、
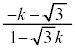
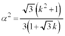
,
の2通りしかなく、大きい方がSの最大値Mを与え、小さい方がSの最小値mを与えます。H,Kより、
(
です)
なので、2乗し、
【広告】ここから広告です。ご覧の皆さまのご支援ご理解を賜りたく、よろしくお願いいたします。
【広告】広告はここまでです。
東大理系数学TOP 数学TOP TOPページに戻る
【広告】ここから広告です。ご覧の皆さまのご支援ご理解を賜りたく、よろしくお願いいたします。
【広告】広告はここまでです。
各問題の著作権は
出題大学に属します。なお、解答は、
苦学楽学塾制作です。©2005-2026(有)りるらる 苦学楽学塾 随時入会受付中!理系大学受験ネット塾苦学楽学塾(ご案内はこちら)ご入会は、
まず、こちらまでメールを
お送りください。