大学入学共通テスト数学IIBC 2026年問題
【広告】ここから広告です。ご覧の皆さまのご支援ご理解を賜りたく、よろしくお願いいたします。
【広告】広告はここまでです。
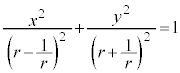
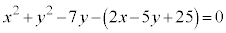
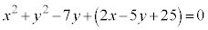
[1] Oを原点とする座標平面において、方程式
・・・@ の表す円を
とする。また、方程式
・・・A の表す円を
とする。
(1)
の中心の座標は
である。
の半径を
,
の半径を
,
の中心と
の中心の間の距離をdとすると、
,
,
である。
,
,dの関係から、
と
は2点で交わることがわかる。
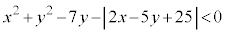
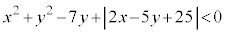
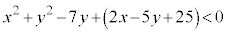
(2) 不等式
・・・Bの表す領域について考える。
Bの左辺は、
のときは@の左辺と一致し、
のときはAの左辺と一致する。
(i) 不等式
の表す領域をD,不等式
の表す領域をEとする。 ・原点Oは
に含まれる。 ・
の中心は
に含まれる。 ・
の中心は
に含まれる。
〜
の解答群(同じものを繰り返し選んでもよい。)
D
E
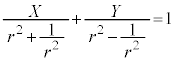
(ii) 方程式
・・・Cの表す直線を
とする。
実数x,yが@とAの両方を満たすとする。@とAの左辺どうし、右辺どうしの差をとると となる。よって、実数x,yはCも満たす。
したって、
。このことから、
は
と
の二つの交点を通る直線であることがわかる。
については、最も適当なものを、次の
〜
のうちから一つ選べ。
点Pを
上の点とすると、Pは
上にあり、かつ
上にもある
点Pを
上の点とすると、Pは
上にあるか、または
上にある
点Pを
上にあり、かつ
上にもある点とすると、Pは
にある
点Pを
上にあるか、または
上にある点とすると、Pは
にある
点Pを
上の点、点Qを
上の点とすると、直線PQは
と一致する
点Pを
上の点、点Qを
上の点とすると、直線PQは
と交わる
(iii) 不等式
の表す領域と(i)の領域Dの共通部分をFとする。
また、不等式
の表す領域と(i)の領域Eの共通部分をGとする。
不等式Bの表す領域は、FとGの和集合である。これを図示すると
の灰色部分である。ただし、境界線を含まない。
(iv) Bにおいて、
の前の符号を+から−に変えた不等式
・・・Dを考える。Dの表す領域を図示すると
の灰色部分である。ただし、境界線を含まない。

,
については、最も適当なものを、次の
〜
のうちから一つずつ選べ。ただし、同じものを繰り返し選んでもよい。なお、
〜
では座標軸を省略している。 [解答へ]
[2](1) 二つの角A,Bに対し、
・・・@
が成り立つことを示そう。
二つの角α,βに対し、加法定理から
・・・A
・・・Bである。AとBの左辺どうし、右辺どうしを加え、
,
とすると、@が得られる。
の解答群
,
については、最も適当なものを、次の
〜
のうちから一つずつ選べ。ただし、同じものを繰り返し選んでもよい。
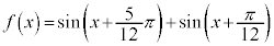
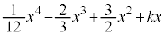
(2) 関数
を とする。
の範囲で
の最大値を考えよう。
@を用いると と変形できる。
は正の定数であるから、
の範囲において、
は
で最大値
をとる。
〜
については、最も適当なものを、次の
〜
のうちから一つずつ選べ。ただし、同じものを繰り返し選んでもよい。
の解答群
(3) aを
を満たす定数とし、関数
を
とする。
花子さんと太郎さんは、関数
のグラフをコンピュータを用いて表示させてみた。図1は、
,
,
としたときの
のグラフである。これを見て、花子さんと太郎さんは、関数
について話している。
花子:
は、定数p,qを用いて
と変形できそうだね。 太郎:三つの関数
,
,
のうちの二つの関数の和に@を使うと、残り一つの関数の定数倍にできるかな。
(i) @を用いると、関数
,
,
のうちの二つの関数の和
は、残りの関数
の定数倍となる。 したがって、関数
は と変形することができる。
の解答群
の解答群
の解答群
(ii)
のとき、
の範囲において、
は
で最大値
をとる。
の解答群 [解答へ]
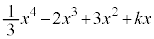
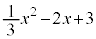
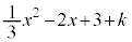
[3](1) kを実数とし、3次関数
を考える。
(i)
である。
のとき、
は極大値
をとる。
のとき、
は極小値
をとる。
の解答群
,
の解答群(同じものを繰り返し選んでもよい。)
(ii)
のグラフを概形は である。

,
については、最も適当なものを、右の
〜
のうちから一つずつ選べ。ただし、同じものを繰り返し選んでもよい。
(iii) (i)で求めた
,
のうち、小さい方の数をaとする。
を満たすようなkの値の範囲は
である。 kは
を満たすとする。
の範囲において、
を満たすxの値をβとおく。
の範囲における
のグラフとx軸およびy軸で囲まれた部分の面積と、
の範囲における
のグラフとx軸および直線
で囲まれ部分の面積が等しいとする。
このとき、
が成り立つ。したがって、
である。
,
の解答群(同じものを繰り返し選んでもよい。)
の解答群
(2) 3次関数
に対して、与えられた条件のもので
のグラフの概形を考えよう。
・次の条件(a)を考える。
条件(a)
かつ
である。 後の
〜
のうち、条件(a)を満たす関数
のグラフの概形は
,
,
の三つであり、残りの五つは条件(a)を満たさない。ただし、
,
,
の解答の順序は問わない。
・条件(a)に加えて、次の条件(b)を考える。
条件(b)
のグラフは直線
を軸とする放物線である。 後の
〜
のうち、条件(a),(b)をともに満たす関数
のグラフの概形は
,
の二つであり、残りの六つは条件(a),(b)の少なくとも一方を満たさない。ただし、
,
の解答の順序は問わない。
・条件(a),(b)に加えて、次の条件(c)を考える。
条件(c)
のグラフは下に凸の放物線である。 後の
〜
のうち、条件(a),(b),(c)のすべてを満たす関数
のグラフの概形は
の一つだけである。 
〜
については、最も適当なものを、右の
〜
のうちから一つずつ選べ。ただし、同じものを繰り返し選んでもよい。 [解答へ]
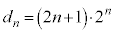
[4] 数列
に対して
(
)
で定められる数列
を、
の階差数列という。
(1)
の初項は1とする。また、
の階差数列
の一般項が で表されるとする。
(i)
であるから、
となる。さらに、
であるから、
となる。
(ii) nを2以上の自然数とする。このとき
・・・@が成り立つことから
であることがわかる。
の解答群
(2) 太郎さんは、@を変形すると
となることから、数列の和を求めるために次のことを考えた。
−発想−−−−−−−−−−−−−−−−−−
ある数列
の和を求めたいときは、数列
で、
の階差数列が
となるものを見つければよい。 −−−−−−−−−−−−−−−−−−−−−
太郎さんは、この発想に基づいて、一般項が
で表される数列
の和を求めることにした。
数列
で、
の階差数列が
となるもの、すなわち
(
) ・・・Aとなるものを見つけたい。太郎さんは、
の一般項がnの1次式と
の積であることから、
の一般項が と表されるのではないかと考えた。ここで、p,qは定数である。このとき、
をn,p,qを用いて表すと となる。
よって、
,
のときAが成り立つ。
以上のことから、すべての自然数nについて、数列
の初項から第n項までの和は となることがわかる。
,
の解答群(同じものを繰り返し選んでもよい。)
の解答群
(3) 花子さんは、一般項が
で表される数列
の和を求めることにした。(2)の発想に基づいて考えると、
すべての自然数nについて、
の初項から第n項までの和は となることがわかる。
の解答群 [解答へ]
[5] 以下の問題を解答するにあたっては、必要に応じて問題末の正規分布表を用いてもよい。
ある自治体では、地域の知識を問う資格試験(以下、資格試験)を毎年実施しており、200点満点のうち120点以上である受験生を合格としている。
(1) 今年実施した資格試験(以下、今年の資格試験)における受験者全体の得点の平均点は116点、標準偏差が25点であることが公表された。今年の資格試験の受験者の得点は正規分布に従うとし、得点を表す確率変数をXとする。このとき、Xは正規分布
に従うから、
とおくと、Yは標準正規分布
に従う。
したがって、今年の受験者全体のうち、120点以上である受験者の割合
はおよそ
である。
の解答群
については、最も適当なものを、次の
〜
のうちから一つ選べ。
0.16
0.21
0.29
0.34
0.41
0.44
0.50
0.84
(2) この自治体のA地域では、多くの住民がこの資格試験を受験し、過去10年間における合格率が毎年40%(0.4)を超えていた。太郎さんたちは、今年の資格試験の合格率についても0.4より高いと判断してよいかを調べるために、A地域における住民の受験者の中からn人を無作為に選び、その合否を調査することにした。
(i) A地域における住民の今年の資格試験(以下、A地域における今年の資格試験)の受験者全体を母集団とし、母集団の大きさは十分に大きいとする。そして、A地域における今年の資格試験の合格率をpとする。無作為に選ぶn人のうちi番目の受験者が合格している場合は1,合格していない場合は0の値をとる確率変数を
(
)と定義する。このとき、
の確率分布は表1のとおりである。 表 1 | 0 1 | 計 |
| 確 率 | p | 1 |
表1から、
の平均(期待値)
は
となる。
また、
の分散
について から、
は
となる。
,
の解答群(同じものを繰り返し選んでもよい。)
(ii) (i)の
,
,・・・,
を、表1の確率分布をもつ母集団から抽出した大きさnの無作為標本とみなす。このとき、標本平均を
とおくと、nが十分大きいとき、
は近似的に正規分布
に従う。 この
の確率分布を利用して、pが0.4より高いといえるかを、有意水準5%(0.05)で仮説検定を行い検証したい。ここで、統計的に検証したい仮説を「対立仮説」、対立仮説に反する仮定として設けた仮説を「帰無仮説」とする。このとき、帰無仮説は「
」,対立仮説は「
」である。これらの仮説に対して、有意水準5%で帰無仮説が棄却(否定)されるかどうかを判断する。
無作為に選ばれた400人のうち、184人が合格者であった。いま、帰無仮説が正しいと仮定する。標本の大きさ
は十分に大きいので、標本平均
は近似的に平均が0.4,標準偏差が
の正規分布に従う。
として用いると の値は
となる。よって、この値をパーセント表示した値は有意水準5%より
。したがって、有意水準5%でA地域における今年の資格試験の合格率は0.4より
。
の解答群
の解答群
については、最も適当なものを、次の
〜
のうちから一つ選べ。
0.0046
0.0062
0.0071
0.0987
0.1112
0.3888
0.4013
0.4929
の解答群
小さいから、帰無仮説は棄却されない
小さいから、帰無仮説は棄却される
大きいから、帰無仮説は棄却されない
大きいから、帰無仮説は棄却される
の解答群
高いと判断できる
高いとは判断できない
(3) 太郎さんと花子さんは、(2)の仮説検定の結果について話している。
太郎:無作為に選ばれた100人のうち46人が合格者でも、比率は同じ0.46になるから、仮説検定の結果は同じになるのかな。
花子:試しに計算して調べてみようよ。
A地域における今年の資格試験の受験者の中から無作為に選ばれた100人のうち、46人が合格者である場合について考える。(2)の(ii)と同じ帰無仮説と対立仮説に対し、有意水準5%で帰無仮説が棄却されるかどうかを調べる。標本の大きさ
は十分に大きいから、(2)の(ii)と同様に、
は近似的に正規分布
に従う。帰無仮説が正しいと仮定する。このとき、
として用いると の値をパーセント表示した値は有意水準5%より
。
したがって、有意水準5%で帰無仮説は
。
の解答群
小さい
大きい
の解答群
棄却される
棄却されない

正規分布表
次の表は、標準正規分布の分布曲線における右図灰色
部分の面積をまとめたものである。
 | 0.00 | 0.01 | 0.02 | 0.03 | 0.04 | 0.05 | 0.06 | 0.07 | 0.08 | 0.09 |
| 0.0 | 0.0000 | 0.0040 | 0.0080 | 0.0120 | 0.0160 | 0.0199 | 0.0239 | 0.0279 | 0.0319 | 0.0359 |
| 0.1 | 0.0398 | 0.0438 | 0.0478 | 0.0517 | 0.0557 | 0.0596 | 0.0636 | 0.0675 | 0.0714 | 0.0753 |
| 0.2 | 0.0793 | 0.0832 | 0.0871 | 0.0910 | 0.0948 | 0.0987 | 0.1026 | 0.1064 | 0.1103 | 0.1141 |
| 0.3 | 0.1179 | 0.1217 | 0.1255 | 0.1293 | 0.1331 | 0.1368 | 0.1406 | 0.1443 | 0.1480 | 0.1517 |
| 0.4 | 0.1554 | 0.1591 | 0.1628 | 0.1664 | 0.1700 | 0.1736 | 0.1772 | 0.1808 | 0.1844 | 0.1879 |
| 0.5 | 0.1915 | 0.1950 | 0.1985 | 0.2019 | 0.2054 | 0.2088 | 0.2123 | 0.2157 | 0.2190 | 0.2224 |
| 0.6 | 0.2257 | 0.2291 | 0.2324 | 0.2357 | 0.2389 | 0.2422 | 0.2454 | 0.2486 | 0.2517 | 0.2549 |
| 0.7 | 0.2580 | 0.2611 | 0.2642 | 0.2673 | 0.2704 | 0.2734 | 0.2764 | 0.2794 | 0.2823 | 0.2852 |
| 0.8 | 0.2881 | 0.2910 | 0.2939 | 0.2967 | 0.2995 | 0.3023 | 0.3051 | 0.3078 | 0.3106 | 0.3133 |
| 0.9 | 0.3159 | 0.3186 | 0.3212 | 0.3238 | 0.3264 | 0.3289 | 0.3315 | 0.3340 | 0.3365 | 0.3389 |
| 1.0 | 0.3413 | 0.3438 | 0.3461 | 0.3485 | 0.3508 | 0.3531 | 0.3554 | 0.3577 | 0.3599 | 0.3621 |
| 1.1 | 0.3643 | 0.3665 | 0.3686 | 0.3708 | 0.3729 | 0.3749 | 0.3770 | 0.3790 | 0.3810 | 0.3830 |
| 1.2 | 0.3849 | 0.3869 | 0.3888 | 0.3907 | 0.3925 | 0.3944 | 0.3962 | 0.3980 | 0.3997 | 0.4015 |
| 1.3 | 0.4032 | 0.4049 | 0.4066 | 0.4082 | 0.4099 | 0.4115 | 0.4131 | 0.4147 | 0.4162 | 0.4177 |
| 1.4 | 0.4192 | 0.4207 | 0.4222 | 0.4236 | 0.4251 | 0.4265 | 0.4279 | 0.4292 | 0.4306 | 0.4319 |
| 1.5 | 0.4332 | 0.4345 | 0.4357 | 0.4370 | 0.4382 | 0.4394 | 0.4406 | 0.4418 | 0.4429 | 0.4441 |
| 1.6 | 0.4452 | 0.4463 | 0.4474 | 0.4484 | 0.4495 | 0.4505 | 0.4515 | 0.4525 | 0.4535 | 0.4545 |
| 1.7 | 0.4554 | 0.4564 | 0.4573 | 0.4582 | 0.4591 | 0.4599 | 0.4608 | 0.4616 | 0.4625 | 0.4633 |
| 1.8 | 0.4641 | 0.4649 | 0.4656 | 0.4664 | 0.4671 | 0.4678 | 0.4686 | 0.4693 | 0.4699 | 0.4706 |
| 1.9 | 0.4713 | 0.4719 | 0.4726 | 0.4732 | 0.4738 | 0.4744 | 0.4750 | 0.4756 | 0.4761 | 0.4767 |
| 2.0 | 0.4772 | 0.4778 | 0.4783 | 0.4788 | 0.4793 | 0.4798 | 0.4803 | 0.4808 | 0.4812 | 0.4817 |
| 2.1 | 0.4821 | 0.4826 | 0.4830 | 0.4834 | 0.4838 | 0.4842 | 0.4846 | 0.4850 | 0.4854 | 0.4857 |
| 2.2 | 0.4861 | 0.4864 | 0.4868 | 0.4871 | 0.4875 | 0.4878 | 0.4881 | 0.4884 | 0.4887 | 0.4890 |
| 2.3 | 0.4893 | 0.4896 | 0.4898 | 0.4901 | 0.4904 | 0.4906 | 0.4909 | 0.4911 | 0.4913 | 0.4916 |
| 2.4 | 0.4918 | 0.4920 | 0.4922 | 0.4925 | 0.4927 | 0.4929 | 0.4931 | 0.4932 | 0.4934 | 0.4936 |
| 2.5 | 0.4938 | 0.4940 | 0.4941 | 0.4943 | 0.4945 | 0.4946 | 0.4948 | 0.4949 | 0.4951 | 0.4952 |
| 2.6 | 0.4953 | 0.4955 | 0.4956 | 0.4957 | 0.4959 | 0.4960 | 0.4961 | 0.4962 | 0.4963 | 0.4964 |
| 2.7 | 0.4965 | 0.4966 | 0.4967 | 0.4968 | 0.4969 | 0.4970 | 0.4971 | 0.4972 | 0.4973 | 0.4974 |
| 2.8 | 0.4974 | 0.4975 | 0.4976 | 0.4977 | 0.4977 | 0.4978 | 0.4979 | 0.4979 | 0.4980 | 0.4981 |
| 2.9 | 0.4981 | 0.4982 | 0.4982 | 0.4983 | 0.4984 | 0.4984 | 0.4985 | 0.4985 | 0.4986 | 0.4986 |
| 3.0 | 0.4987 | 0.4987 | 0.4987 | 0.4988 | 0.4988 | 0.4989 | 0.4989 | 0.4989 | 0.4990 | 0.4990 |
| 3.1 | 0.4990 | 0.4991 | 0.4991 | 0.4991 | 0.4992 | 0.4992 | 0.4992 | 0.4992 | 0.4993 | 0.4993 |
| 3.2 | 0.4993 | 0.4993 | 0.4994 | 0.4994 | 0.4994 | 0.4994 | 0.4994 | 0.4995 | 0.4995 | 0.4995 |
| 3.3 | 0.4995 | 0.4995 | 0.4995 | 0.4996 | 0.4996 | 0.4996 | 0.4996 | 0.4996 | 0.4996 | 0.4997 |
| 3.4 | 0.4997 | 0.4997 | 0.4997 | 0.4997 | 0.4997 | 0.4997 | 0.4997 | 0.4997 | 0.4997 | 0.4998 |
| 3.5 | 0.4998 | 0.4998 | 0.4998 | 0.4998 | 0.4998 | 0.4998 | 0.4998 | 0.4998 | 0.4998 | 0.4998 |
[解答へ]
[6] 平面上に、△ABCと点Mがある。
(1) 次の等式を満たす点Pを考える。
・・・@
3点A,B,Cを図1の位置にとる。ただし、図1における△ABCは正三角形、六角形DEFGCAは正六角形である。・MがAと一致するとき、Pは
と一致する。 ・MがDと一致するとき、Pは
と一致する。
,
の解答群(同じものを繰り返し選んでもよい。)
(2) a,b,cを実数とする。次の等式を満たす点Pを考える。
・・・A花子さんと太郎さんは、(1)の考察から、Pの位置について話している。
花子:@は
,
,
の場合だね。(1)で考えた二つの場合では、Mの位置によってPの位置が異なるね。 太郎:でも、
,
,
の場合だと、Aは
となるから、Mがどの位置にあっても、PはAと一致するよ。 花子:Pの位置が変わらないのは、どのようなときかな。
ここでは
Mがどの位置にあっても、Aを満たすPの位置が変わらない
ためのa,b,cの条件を調べよう。
Aの両辺を、Aを始点とするベクトルを用いて表すと、左辺は
となり、右辺は
となる。したがって、Aは
と変形できる。
よって、Mがどの位置にあっても、Aを満たすPの位置が変わらないための必要十分条件は
である。
の解答群

〜
の解答群(同じものを繰り返し選んでもよい。)
の解答群
(3) a,b,cを、
を満たす実数とする。様々な条件のもとで、Aを満たす点Pが存在する範囲を調べよう。
(i) a,b,cが、
と
を満たすとき、Pが存在する範囲は
である。ただし、△ABCの辺BCの中点をH,辺CAの中点をI,辺ABの中点をJとする。
の解答群
直線AH
直線BI
直線CJ
直線HI
直線IJ
直線JH
(ii) a,b,cが、
と
を満たすとき、Pが存在する範囲を図示すると、
の灰色部分となる。ただし、境界線を含まない。
については、最も適当なものを、右の
〜
のうちから一つ選べ。 [解答へ]
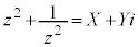
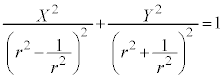
[7] zを0でない複素数とし、
とする。また、rを正の実数とし、複素数平面上で、原点Oを中心とする半径rの円をCとする。
(1)
のとき、
であり
である。
(2) zがC上を動くとき、wが複素数平面上で描く図形を考える。
実数θをzの偏角とし、極形式を用いて
と表す。
(i)
をr,θを用いて表すと
・・・@である。したがって、θの値によらず
となるようなrの値は
である。
,
の解答群(同じものを繰り返し選んでもよい。)
(ii)
とする。zがC上を動くとき、wが描く図形は
である。 
については、最も適当なものを、右の
〜
のうちから一つ選べ。
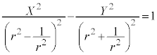
(iii)
とする。x,yを実数として
とおくと、@から
,
・・・Aが成り立つ。Aの二つの式からθを消去すると、x,yは
を満たし、zがC上を動くとき、
は
の表す図形を描く。
の解答群
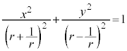
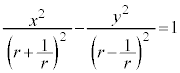
(3)
とする。zがC上を動くとき、
が描く図形を考えよう。 (i)
をzを用いて表すと、
である。
の解答群
(ii) zがC上を動くとき、
が描く図形の方程式を考える。このとき、
は原点Oを中心とする半径
の円を描く。このことから、X,Yを実数として
とおくと、X,Yは
を満たす。以上を踏まえると、
の描く図形は
であることがわかる。
の解答群

については、最も適当なものを、右の
〜
のうちから一つ選べ。 [解答へ]
【広告】ここから広告です。ご覧の皆さまのご支援ご理解を賜りたく、よろしくお願いいたします。
【広告】広告はここまでです。
数学TOP TOPページに戻る
【広告】ここから広告です。ご覧の皆さまのご支援ご理解を賜りたく、よろしくお願いいたします。
【広告】広告はここまでです。
各問題の著作権は
出題大学に属します。なお、解答は、
苦学楽学塾制作です。©2005-2026(有)りるらる 苦学楽学塾 随時入会受付中!理系大学受験ネット塾苦学楽学塾(ご案内はこちら)ご入会は、
まず、こちらまでメールを
お送りください。