慶大理工数学'25年[4]
以下の設問では、区間
で連続な関数
,
,
に対して、区間
で
ならば
であること、および
であることをことわりなしに用いてよい。
(1) 自然数nに対して
とする。このとき、
である。 (2) 自然数nに対して
とする。すべてのnに対して不等式 を証明しなさい。
(3)
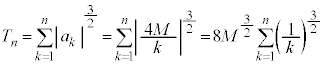
である。 (4) kを自然数とするとき、
である。 (5)
を微分可能な関数とし、Mを正の定数とする。区間
で、
は連続かつ
と仮定する。自然数k,nに対して、
とし、
とする。このとき、すべてのnに対して不等式 を証明しなさい。ただし、必要であれば(2)の不等式と(4)の等式を証明なしに用いてよい。
【広告】ここから広告です。ご覧の皆さまのご支援ご理解を賜りたく、よろしくお願いいたします。
【広告】広告はここまでです。
解答 ゴタゴタしているように見えますが、誘導通り進めて行けばゴールにたどりつけます。
(1)
のとき、 ∴
......[ト] (2)
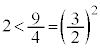
のとき、
より成立します。
のとき、
・・・@
より成立します。
より
問題文に書かれている不等式を用いて、
よって、
これを、
について加え合わせると、 よって、
・・・A
@+Aより、 より題意は成立します。
以上より、すべての自然数nに対して、
が成立します。(証明終)
を満たすxは、jを整数として、
より
ですが、積分区間
においては、
より
です。そこで、積分区間
を
個の区間
(
)に分けて考えます。
三角関数は周期関数です。
において、
として、
であれば
,
であれば
なので、
(
(
))です。
よって、なので、
......[ニ](5) 
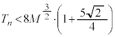
問題文の不等式を用いて、
より、(4)の結果を用いて、
(2)の結果を用いて、
【広告】ここから広告です。ご覧の皆さまのご支援ご理解を賜りたく、よろしくお願いいたします。
【広告】広告はここまでです。
慶大理工数学TOP 数学TOP TOPページに戻る
【広告】ここから広告です。ご覧の皆さまのご支援ご理解を賜りたく、よろしくお願いいたします。
【広告】広告はここまでです。
各問題の著作権は
出題大学に属します。なお、解答は、
苦学楽学塾制作です。©2005-2025(有)りるらる 苦学楽学塾 随時入会受付中!理系大学受験ネット塾苦学楽学塾(ご案内はこちら)ご入会は、
まず、こちらまでメールを
お送りください。