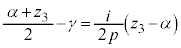
慶大理工数学'26年[4]
複素数平面上の異なる3点
,
,
に対して、等式
が成り立つとする。ただし、iは虚数単位であり、pは正の数である。
(1) 線分ACの中点をMとする。Mを表す複素数を解答欄(1)に印刷されている文の下線部に記入しなさい。さらに、Mを表す複素数を用いて、線分ACと直線BMが垂直に交わることの証明を記述しなさい。
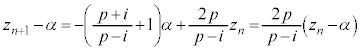
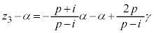
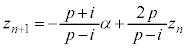
以下、複素数
(
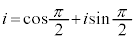
)は、
,
であり、等式
を満たすとする。このとき、3点α,
,
を頂点とする三角形の面積を
とする。
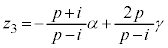
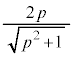
(2)
のとき、
と
をそれぞれpの式で表すと、
,
となる。
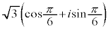
さらに、
,
とする。
(3)
をnのみを用いた式で表すと、
となる。 (4) αとβが、
を満たす実数である場合を考える。また、Nを
が実数となるような最小の正の整数とする。このとき、
,
,・・・・・・,
,
を頂点とする多角形の面積は
である。
【広告】ここから広告です。ご覧の皆さまのご支援ご理解を賜りたく、よろしくお願いいたします。
【広告】広告はここまでです。
解答 複素数の漸化式、ということで度肝を抜かれますが、解き易いように工夫されていて、問題文の流れに沿って解答すれば、最終解答にたどりつきます。
・・・@
(1) 線分ACの中点Mを表す複素数は
です。 @を変形すると、
で割ると、
・・・A
は
を表す複素数です。
は
を表す複素数です。
なので、Aは、
を
だけ回転して大きさを
倍すると
になることを意味します。MはACの中点なので、線分ACと直線BMは垂直に交わります。(証明終)
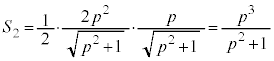
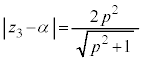
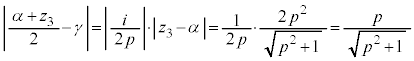
(2) A両辺の大きさを考えると、
3点α,
,
を頂点とする三角形、つまり、3点α,β,γを頂点とする三角形の面積
は、
......[チ]Bで
として、
と同様に考え、
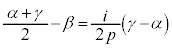
・・・ECをAと同様に変形すると、
より、 これより、「αと
の中点」と
を結ぶとαと
を結ぶ線分と垂直です。
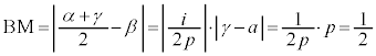
・・・F (∵ E)3点α,
,
を頂点とする三角形の面積
は、底辺をE,高さをFと考え、
......[ツ]注.実戦的には、
が
の
倍で、相似比から、
が
の
倍(これが数列
の公比です)となり、[ツ]を[チ]の
倍として求めることができます。
Dと同様に、Bを変形すると、
これより、数列
の公比は
,数列
の公比は
です。
よって、
のとき、数列
の公比は
です。
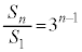
(3) これより、
......[テ]
(4)
のとき、Gより、 数列
は公比
,初項
(これは、実数です)の等比数列です。
が実数となるのは、
のときで、こうなる最小の整数は
です。
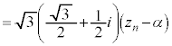
は
を
だけ回転し、大きさを
倍したもので、
,
,
を頂点とする三角形、
,
,
を頂点とする三角形、・・・、
,
,
を頂点とする三角形の間に重なりはありません。
,原点O,
は実軸上の点であり、
,
,・・・,
,
を頂点とする多角形の面積Tは、これらの三角形の面積
,
,
,・・・,
の和であり、[チ]の結果で
として
であり、数列
の公比が3であることから、
【広告】ここから広告です。ご覧の皆さまのご支援ご理解を賜りたく、よろしくお願いいたします。
【広告】広告はここまでです。
慶大理工数学TOP 数学TOP TOPページに戻る
【広告】ここから広告です。ご覧の皆さまのご支援ご理解を賜りたく、よろしくお願いいたします。
【広告】広告はここまでです。
各問題の著作権は
出題大学に属します。なお、解答は、
苦学楽学塾制作です。©2005-2026(有)りるらる 苦学楽学塾 随時入会受付中!理系大学受験ネット塾苦学楽学塾(ご案内はこちら)ご入会は、
まず、こちらまでメールを
お送りください。