早稲田大学基幹・創造・先進理工学部2026年数学入試問題
【広告】ここから広告です。ご覧の皆さまのご支援ご理解を賜りたく、よろしくお願いいたします。
【広告】広告はここまでです。
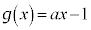
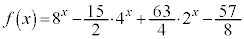
[1] 次の関数
について、以下の問に答えよ。
(1)
の極大値Mと極小値mを求めよ。 (2) (1)で求めたM,mに対して、
における
の最大値がM,最小値がmとなるような実数の組
のうち、
が最小となる組を求めよ。 [解答へ]
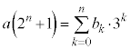
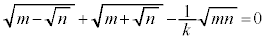
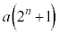
[2] kを自然数とする。方程式
を満たす自然数の組
を自然数解と呼ぶ。以下の問に答えよ。
(1) 自然数解
が存在するならば、
であることを示せ。 (2) それぞれのkに対して、自然数解が少なくとも1つ存在し、その個数は
より小さいことを示せ。 (3)
のとき、自然数解をすべて求めよ。 [解答へ]
[3] 座標空間内に点A
,B
,および実数aを用いて表される点P
をとる。さらに、2点
,
を通る直線を
として、3点A,B,Pが定める平面と直線
との交点をQとする。
(1) 点Qの座標をaを用いて表せ。
(2) 4点A,B,P,Qが四角形APBQを成し、線分ABと線分PQが交わるためのaの条件を求めよ。
(3) aが(2)の条件を満たすとき、四角形ABPQの面積をaを用いて表せ。
[解答へ]
[4]
とし、
,
,
,・・・を次の関係で定める。
以下の問に答えよ。
(1)
,
を求めよ。 (2) 自然数nに対して、
は、1または2のいずれかの値をとるような
,
,・・・,
を用いて、 (3) 自然数nに対して、
を求めよ。 [解答へ]
[5] 関数
について、以下の問に答えよ。ただし、
は自然対数、eは自然対数の底を表す。必要ならば、
を用いてよい。
(1)
の増減、極値を調べて、そのグラフをかけ。 (2) 実数aに対して、
とする。曲線
と直線
の共有点の個数は、aの値によってどのように変わるか調べよ。 (3) 曲線
と直線
の共有点の個数が1個のとき、曲線
,直線
および直線
で囲まれた部分をy軸の周りに1回転させてできる立体の体積を求めよ。 [解答へ]
【広告】ここから広告です。ご覧の皆さまのご支援ご理解を賜りたく、よろしくお願いいたします。
【広告】広告はここまでです。
早大理工数学TOP 数学TOP TOPページに戻る
【広告】ここから広告です。ご覧の皆さまのご支援ご理解を賜りたく、よろしくお願いいたします。
【広告】広告はここまでです。
各問題の著作権は
出題大学に属します。なお、解答は、
苦学楽学塾制作です。©2005-2026(有)りるらる 苦学楽学塾 随時入会受付中!理系大学受験ネット塾苦学楽学塾(ご案内はこちら)ご入会は、
まず、こちらまでメールを
お送りください。