早大理工数学'26年[3]
座標空間内に点A
,B
,および実数aを用いて表される点P
をとる。さらに、2点
,
を通る直線を
として、3点A,B,Pが定める平面と直線
との交点をQとする。
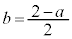
(1) 点Qの座標をaを用いて表せ。
(2) 4点A,B,P,Qが四角形APBQを成し、線分ABと線分PQが交わるためのaの条件を求めよ。
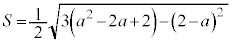
(3) aが(2)の条件を満たすとき、四角形ABPQの面積をaを用いて表せ。
【広告】ここから広告です。ご覧の皆さまのご支援ご理解を賜りたく、よろしくお願いいたします。
【広告】広告はここまでです。
解答 空間ベクトルの問題ですが、(2),(3)は平面図形の問題として解答できます。
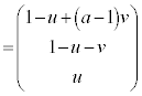
3点A,B,Pが定める平面を平面αとします。u,vを実数とし、
,
・・・@ を用いて、平面α上の点
を(平面のベクトル方程式を参照)、
・・・A のように表します。
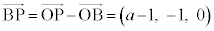
2点
,
を通る直線
上の点
を、t を実数とし、方向ベクトル
を用いて(直線のベクトル方程式を参照)、
・・・B のように表します。
(1) 平面αと直線
の交点Qは、A=Bとして、 D+Eより、
∴
これとEをCに代入し、
∴
Eより、
Dより、
よって、Qの座標は、
......[答]
Aはz軸上の定点、Pはx軸上の点、Bはx軸上にもz軸上にも存在しない定点ので、3点A,B,Pが一直線上に並ぶことはなく、
と
は1次独立です。
Qは平面α上の点で、これ以降は、平面α上の平面図形の問題になり
と
を用いて考えていきます。Aより、

・・・F
(2) Fで
とすると、
となり、直線BP上でBに対してBPと同じ長さだけPと逆側の点を
(
)として、Qは
に来ます。このときは、B,P,Qが一直線上に並ぶので四角形APBQはできません。
のとき、
とFを用いると、
・・・Gとなるので、
//
です。つまり、Qは、
を通り直線BAに平行な直線上の点です。この直線と直線PAの交点を
とすると、BA//
なので中点連結定理(
)より、Aは
の中点で、
です。また、
です。GのQを
と考えると、
∴
このときも、A,P,Qが一直線上に並ぶので四角形APBQはできません。
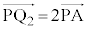
右図より、Qが線分
上にあれば、線分ABと線分PQが交わります。Qが線分
上にあるとき、
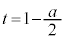
として、
です。Gより、 よって、
より、
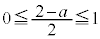
∴ 
のときは四角形APBQができず、
であれば四角形APBQができるので、求めるaの条件は、
......[答]
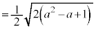
(3) △ABPと△ABQにおいて、中点連結定理より、高さは等しく、底辺はともにABなので、△ABPの面積と△ABQの面積は等しく、四角形APBQの面積は、△ABPの面積の2倍です。△ABPの面積Sは、 @より、
∴ 
四角形APBQの面積はこの2倍で、
......[答]
【広告】ここから広告です。ご覧の皆さまのご支援ご理解を賜りたく、よろしくお願いいたします。
【広告】広告はここまでです。
早大理工数学TOP 数学TOP TOPページに戻る
【広告】ここから広告です。ご覧の皆さまのご支援ご理解を賜りたく、よろしくお願いいたします。
【広告】広告はここまでです。
各問題の著作権は
出題大学に属します。なお、解答は、
苦学楽学塾制作です。©2005-2026(有)りるらる 苦学楽学塾 随時入会受付中!理系大学受験ネット塾苦学楽学塾(ご案内はこちら)ご入会は、
まず、こちらまでメールを
お送りください。