早大理工数学'26年[5]
関数
について、以下の問に答えよ。ただし、
は自然対数、eは自然対数の底を表す。必要ならば、
を用いてよい。
(1)
の増減、極値を調べて、そのグラフをかけ。 (2) 実数aに対して、
とする。曲線
と直線
の共有点の個数は、aの値によってどのように変わるか調べよ。 (3) 曲線
と直線
の共有点の個数が1個のとき、曲線
,直線
および直線
で囲まれた部分をy軸の周りに1回転させてできる立体の体積を求めよ。
【広告】ここから広告です。ご覧の皆さまのご支援ご理解を賜りたく、よろしくお願いいたします。
【広告】広告はここまでです。
解答 この問題は、微分・積分の基本問題なので落とせません。計算ミスにはくれぐれも注意してください。
のとき、
より、
のとき、
の増減表は以下のようになります。
は
において極小値
をとります。
のグラフは右図。
なので、
・・・B
とおくと、
とすると、

のとき、
より、
のとき、
の増減表は以下のようになります。
これより、
のグラフは右図のようになります。
と
を連立したときの解は、
と
を連立したときの解に一致するので、
のグラフより、曲線
と直線
の共有点の個数は、
のとき2個、
のとき1個、
のとき0個 ......[答]
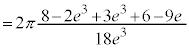
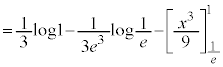
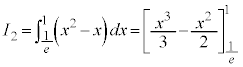
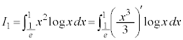
(3) (2)より、曲線
と直線
の共有点の個数が1個のとき、
です。このとき、
は、
となり、
と
の共有点、即ち
と
の共有点は
で、ここで
と
は接します。
......[答]
【広告】ここから広告です。ご覧の皆さまのご支援ご理解を賜りたく、よろしくお願いいたします。
【広告】広告はここまでです。
早大理工数学TOP 数学TOP TOPページに戻る
【広告】ここから広告です。ご覧の皆さまのご支援ご理解を賜りたく、よろしくお願いいたします。
【広告】広告はここまでです。
各問題の著作権は
出題大学に属します。なお、解答は、
苦学楽学塾制作です。©2005-2026(有)りるらる 苦学楽学塾 随時入会受付中!理系大学受験ネット塾苦学楽学塾(ご案内はこちら)ご入会は、
まず、こちらまでメールを
お送りください。