東大物理'25年前期[1]
図1-1のように、3個のおもりと3本の棒を互いに固定した物体の運動を考える。ただし、図1-2のように、おもりAに対して2本の棒はなめらかに回転できる。はじめ物体は、図1-1のように、おもりAとおもりBが水平な床に接するように置かれており、おもりCはおもりAの真上にある。おもりCには水平に張られた糸がつながれており、糸を図の右方向に引く力の大きさをFとする。3個のおもりの質量はいずれもmであり、棒と糸の質量は考えなくてよい。おもりAからおもりBまでの距離、およびおもりAからおもりCまでの距離はいずれもdであり、おもりの大きさは考えなくてよい。また、重力加速度の大きさを
とする。
T まず、おもりAが床に固定されている場合を考える。
(1) 図1-1の状態において、Fを徐々に大きくしていったところ、Fがある大きさに達したときにおもりBが床から離れた。このときのFを求めよ。
(2) 糸を引き続けて、図1-2のように物体を傾けていくことを考える。おもりBが床から離れてから糸を引く力がした仕事の大きさをWとする。Wがある大きさ
を超えると、物体は倒れて、おもりCは床に衝突する。
を求めよ。
U 次に、おもりAが床に固定されていない場合を考える。図1-1のようにおもりAとおもりBは床に接している。おもりAと床との間の静止摩擦係数はμ (
)であり、おもりBと床との間には摩擦はない。
(1) Fが小さく、物体が静止しているとき、おもりBが床から受ける垂直抗力の大きさを、Fを含む式で表せ。
(2) 前問U(1)のとき、おもりAが床から受ける垂直抗力の大きさを、Fを含む式で表せ。
(3) Fを徐々に大きくしていったところ、Fがある大きさに達したときに、おもりBが床に接したまま物体が右に動き始めた。このときのFを求めよ。
V 最後に、おもりAとおもりBが床に接したまま、物体が右に動いている場合を考える。おもりAと床との間の動摩擦係数は
(
)であり、おもりBと床との間には摩擦はない。
(1) 図1-3のように、物体が等速直線運動しているときのFを求めよ。
(2) 糸を引くのをやめて
にすると、物体は等加速度で減速する。このとき、図1-4に示すように、加速度は速度と逆向きであり、その大きさをa (
)とする。おもりBが床から受ける垂直抗力の大きさを、aを含む式で表せ。
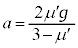
(3) 前問V(2)のaを求めよ。
【広告】ここから広告です。ご覧の皆さまのご支援ご理解を賜りたく、よろしくお願いいたします。
【広告】広告はここまでです。
解答 力学の基本問題ですが、物理では、基本問題だからと言って易しいわけではありません。
T(1) Bが床から離れる瞬間のAのまわりの力のモーメントは、Bに働く重力
の反時計回りのモーメント
,力Fの時計回りのモーメント
で、これらのつり合いより、
∴
......[答]
(2) 物体が倒れる直前にBとCは同じ高さ
の位置に来ます。Bが床から離れてから、Bの高さは
増大し、Cの高さはdから
まで変化するので、この間に糸を引く力がした仕事
は、この間の位置エネルギーの変化に等しく、
......[答]Wがこの
を超えると、Cの高さがBの高さより低くなり、物体が倒れます。
U(1) BC間の棒がB,Cを引く張力を
とすると、Cに働く力の水平方向のつり合いより、
∴
・・・@Bが床から受ける垂直抗力を
とすると、Bに働く力の鉛直方向の力のつり合いより、
@より、
......[答]注.Aに働く力が多いので、Aの回りのモーメントのつり合いを考えれば、もっと簡単にすみます。
(2) AC間の棒がA,Cに及ぼす垂直抗力を
とすると、Cに働く力の鉛直方向の力のつり合いより、
@より、
・・・AAが床から受ける垂直抗力を
とすると、Aに働く力の鉛直方向のつり合いより、
Aより、
......[答]別解.3個のおもりを一体と考え、U(1)の結果を用いて、鉛直方向の力のつり合いより、
∴ 
(3) 題意のためには、Aと床の間が滑らず、Bと床の接触が保たれる、両方が満たされなければなりません。つまり、Bが床に接したまま右に動き出す瞬間に、Bが受ける垂直抗力
は
・・・Bまた、Aが床から受ける左向きの静止摩擦力の大きさをf として、
・・・CB,Cがともに満たされる必要があります(*)。3個のおもりを一体として考えたときの物体に働く力の水平方向のつり合いより、
∴
Cと(2)の結果を用いて、
より、
・・・D
のとき、
より
なので、Dのとき、
です。
Bと(1)の結果を用いて、
・・・E(*)のためには、DかつEより、
これより、Bが床に接したまま右に動き始めたとき、
......[答]
V(1) 鉛直方向は力のつり合いが成立していることに注意して、U(2)の結果を用いると、物体が等速直線運動しているとき、力Fと動摩擦力
とのつり合いより、

......[答]注.ここでも、Bが床との接触を保っていることを確かめる必要があるのですが、U(3)の結果とV(1)の結果を比較すると、
(
)なので、V(1)の結果の方が小さく、当然B,つまりEは成立します。
(2) U(1)と同様に考えます。左向きの加速度aで運動する物体上で見ると、Cには右向きの慣性力
が働きます。ここでもBC間の棒がB,Cを引く張力を
とすると、Cに働く力の水平方向のつり合いより、
∴
・・・FBが床から受ける垂直抗力を
として、Bに働く力の鉛直方向のつり合いより、 Fより、
......[答]Bが床に接したままなので
より、
です。
(3) 物体上で見て考えます。AC間の棒がA,Cに及ぼす垂直抗力を
として、Cに働く力の鉛直方向のつり合いより、
・・・GFをGに代入して、
Aが床から受ける垂直抗力を
として、Aに働く力の鉛直方向のつり合いより、
∴ 
Aに働く左向きの動摩擦力の大きさは、
床上で見た物体(質量
)の運動方程式は、左向きの加速度をaとして、 ∴
......[答] 注.Vの最後は、3個のおもりを一体と見て運動方程式を立てましたが、Vも、Uと同様に最初から一体として考える方が簡単です。
【広告】ここから広告です。ご覧の皆さまのご支援ご理解を賜りたく、よろしくお願いいたします。
【広告】広告はここまでです。
東大物理TOP 物理TOP TOPページに戻る
【広告】ここから広告です。ご覧の皆さまのご支援ご理解を賜りたく、よろしくお願いいたします。
【広告】広告はここまでです。
各問題の著作権は
出題大学に属します。なお、解答は、
苦学楽学塾制作です。©2005-2026(有)りるらる 苦学楽学塾 随時入会受付中!理系大学受験ネット塾苦学楽学塾(ご案内はこちら)ご入会は、
まず、こちらまでメールを
お送りください。