東大理系数学'26年前期[1]
(1) 関数
の区間
における最大値Mおよび最小値mを求めよ。
(2) (1)で定めたMに対し、次の不等式を示せ。
【広告】ここから広告です。ご覧の皆さまのご支援ご理解を賜りたく、よろしくお願いいたします。
【広告】広告はここまでです。
解答 単なる微積分の計算問題なのですが、色々と工夫が必要で、細部にも神経を使います。
(
) ・・・@
よって、
において
,
において
よって、
は、
において減少、
において増加です。 これより、
で
は単調増加です。よって、
における最大値M,最小値mは、
,
......[答]
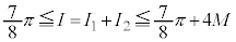
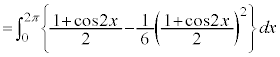
よって、
これより、
これよりIは、
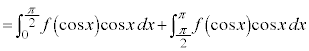
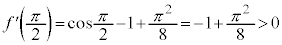
,
とすると、
であり、(1)の検討より、
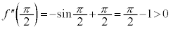
であって、
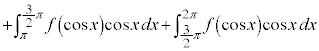
において
は単調増加なので、
において
,
,
より、
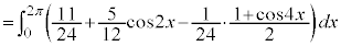
・・・B
・・・C
・・・D
・・・E従って、
【広告】ここから広告です。ご覧の皆さまのご支援ご理解を賜りたく、よろしくお願いいたします。
【広告】広告はここまでです。
東大理系数学TOP 数学TOP TOPページに戻る
【広告】ここから広告です。ご覧の皆さまのご支援ご理解を賜りたく、よろしくお願いいたします。
【広告】広告はここまでです。
各問題の著作権は
出題大学に属します。なお、解答は、
苦学楽学塾制作です。©2005-2026(有)りるらる 苦学楽学塾 随時入会受付中!理系大学受験ネット塾苦学楽学塾(ご案内はこちら)ご入会は、
まず、こちらまでメールを
お送りください。