慶大理工数学'26年[1]
座標平面上において、原点Oを中心とする半径1の円をCとし、点A
を通り傾きがt の直線をlとする。
(1) 円Cと直線lがただ1つの共有点をもつとき、その点のx座標は
である。 (2) 円Cと直線lが異なる2点で交わるようなt の値の範囲は
である。 以下、t が
を満たすように動くとする。このとき、円Cと直線lの2つの交点を結ぶ線分の中点をMとする。
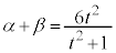
(3) 線分OMの長さをt の式で表すと、
である。 (4) 点Mの軌跡の方程式は
である。ただし、xの範囲は
である。 (5) 円Cと直線lの2つの交点と原点Oを頂点とする三角形を、直線lのまわりに1回転してできる立体の体積をVとする。Vが最大となるtの値は
である。
【広告】ここから広告です。ご覧の皆さまのご支援ご理解を賜りたく、よろしくお願いいたします。
【広告】広告はここまでです。
解答 図形を考察して最大を考える、よくある問題ですが、終盤の微分計算はかなり面倒です。
原点Oを中心とする半径1の 円 C:
・・・@
点A
を通り傾きがt の直線l:
・・・A
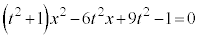
@,Aを連立し、yを消去すると、

・・・B
(1) 円Cと直線lがただ1つの共有点をもつとき、2次方程式Bは、重解を持ちます。判別式Dについて、
・・・C∴
このときBは、
ただ1つの共有点のx座標は、
......[ア]
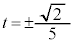
(2) 円Cと直線lが異なる2点で交わるとき、2次方程式Bは相異なる2実数解を持ち、判別式Dについて、Cより、
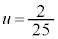
以下、
とします。
2次方程式Bの相異なる2実数解をα,βとします。Bについて、解と係数の関係より、
,
・・・D 2つの交点を結ぶ線分の中点Mを
として、
・・・E Mも直線l上の点なので、Aより、
・・・F
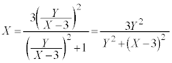
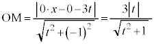
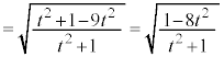
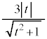
(3) 直線lの方程式を書き直して、
......[エ]
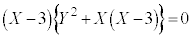
(4) Mは円C内部の点なので
より
です。E,Fよりt を消去すると、
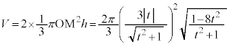
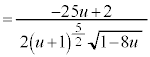
(5) 円Cと直線lの2つの交点の距離の半分hは、三平方の定理より(円と直線の位置関係を参照)、
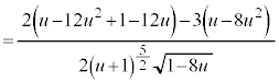
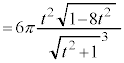
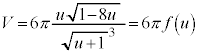
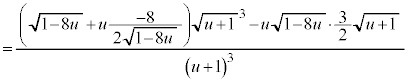
円Cと直線lの2つの交点と原点Oを頂点とする三角形を、直線lのまわりに1回転してできる立体は、OMを半径とする円を底面とする高さhの円錐2個を底面の円で貼り合わせた立体です。その体積Vは、
とすると
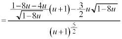
,
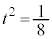
において
,
において
より(関数の増減を参照)、
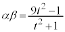
即ちVは、
即ち
のときに最大となります。
......[カ]
【広告】ここから広告です。ご覧の皆さまのご支援ご理解を賜りたく、よろしくお願いいたします。
【広告】広告はここまでです。
慶大理工数学TOP 数学TOP TOPページに戻る
【広告】ここから広告です。ご覧の皆さまのご支援ご理解を賜りたく、よろしくお願いいたします。
【広告】広告はここまでです。
各問題の著作権は
出題大学に属します。なお、解答は、
苦学楽学塾制作です。©2005-2026(有)りるらる 苦学楽学塾 随時入会受付中!理系大学受験ネット塾苦学楽学塾(ご案内はこちら)ご入会は、
まず、こちらまでメールを
お送りください。