東大理系数学'26年前期[3]
座標空間内の原点を中心とする半径5の球面をSとする。S上の相異なる3点P,Q,Rが次の条件を満たすように動く。
条件:P,Qはxy平面上にあり、三角形PQRの重心はG
である。 以下の問いに答えよ。
(1) 線分PQの中点Mの軌跡をxy平面上に図示せよ。
(2) 線分PQが通過する範囲をxy平面上に図示せよ。
【広告】ここから広告です。ご覧の皆さまのご支援ご理解を賜りたく、よろしくお願いいたします。
【広告】広告はここまでです。
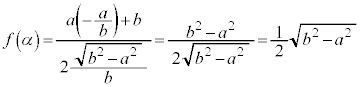
解答 (2)は、計算も複雑な難問です。空間図形の問題ですが、P,Qがxy平面上の点で、重心のz座標が1なので、ほぼ平面上の問題として解決します。
P,Qのz座標は0で、Rのz座標をzとすると、重心Gのz座標は、
となり、
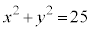
です。Rのx座標、y座標をx,yとして、RはS上の点(球面のベクトル方程式を参照)なので、

・・・@ z軸上方から見て、Rは原点を中心とする半径2の円周上の点です。
P,QはS上の点で、そのz座標は0なので、

・・・A P,Qはxy平面上で、原点を中心とする半径5の円周上の点です。
(1) xy平面上で、PQの中点Mの座標を
とすると、重心Gは、RMを2:1に内分する点なので、Rの座標を
として、 @に代入すると、
4で割ると、
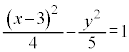
・・・BMの軌跡は、
を中心とする半径2の円です。ただし、PQの中点はS内部に存在するので、円周上の点
は除かれます。図示すると右図太線(白マルを除く)。
(2) 円B上の点Mの座標は、
,
とおく(円の媒介変数表示を参照)と、
(
)とおくことができます。P,Qは円A上の点、MはPQの中点なので、△OPMと△OQMにおいて、
,
,OM共通、より、△OPM≡△OQMです。よって、
,即ち、直線OMと直線PQは直交します。
直線OMの傾きは
,
であれば、直線PQの傾きは
となりますが、Mは
には来ないので
,また、
の場合を除きます。
のときMは
に来ます。
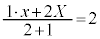
より、線分PQ上の点は、直線
上の円A内部または周上の点です。 ・・・C
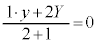
,
,つまり、
,
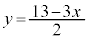
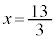
のとき、直線PQは、傾き
で、M
を通るので、その方程式は、となります。
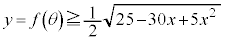
ここで、xを固定してθを動かしたときにyが取り得る値の範囲を考えます。微分計算をラクにするために、
,
・・・Eとおきます。線分PQ上の点はS内に位置するので
であり、
です。
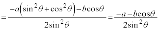
また、
つまり
のとき、 となるのは
のときです。
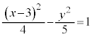
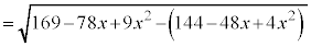
Dは、
となり、
とおき、微分すると、
・・・F以下、まず
のとき、つまり、
のときを考えます。
とすると、
,こうなるθは、
の範囲、
の範囲に各々1個ずつ(三角関数の方程式を参照)あります。
の範囲にある方をα、
の範囲にある方をβとすると、より、
,
なので、
または
ただし、線分PQは円A内部または周上に位置するので、Aより、
を満たします。つまり、yの範囲は、
または
これを満たすyが存在するために、
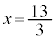
である必要があります。二乗すると、
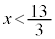
より、線分PQの通過範囲は
の範囲に存在します。
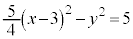
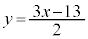
においては、
が境界線となるのですが、両辺を二乗すると、これは、双曲線です。このときの線分PQの通過範囲は、双曲線Gから外側であって円A内部または周上になります(
の範囲に存在します)。 ・・・H
,つまり
のとき、
となります(三角関数のグラフを参照)が、
かつ
において、
は0以外のすべての実数を取り得ます。
のとき直線Dは
となりますが、この直線は
のとき
です。
のとき直線Dは
となりますが、この直線は
のとき
です。
即ち、yは0も含めて全実数を取り得ます。直線
上で円A内部または周上になります。 ・・・I
のときは
ですが、
となり、
を満たすθが存在しません。
のときは
ですが、
つまり
となり、やはり、
を満たすθが存在しません。どちらの場合も
となり
で
は単調減少になります。
,
,
,
となるので、
は全実数を取り得ます。円A内部または周上になります。 ・・・J
のC,
または
のJ,
のIは、円A内部または周上になります。つまり、
においては、円A内部または周上です。
(
)では線分PQができないので除かれます。
のHでは、双曲線Gから外側で円A内部または周上です(領域を参照)。

以上より、線分PQの存在範囲は、
においては、双曲線
から外側であってかつ円
から内側、
においては、円
から内側です。図示すると右図黄緑色着色部(境界線を含んで白マルを除く)。
【広告】ここから広告です。ご覧の皆さまのご支援ご理解を賜りたく、よろしくお願いいたします。
【広告】広告はここまでです。
東大理系数学TOP 数学TOP TOPページに戻る
【広告】ここから広告です。ご覧の皆さまのご支援ご理解を賜りたく、よろしくお願いいたします。
【広告】広告はここまでです。
各問題の著作権は
出題大学に属します。なお、解答は、
苦学楽学塾制作です。©2005-2026(有)りるらる 苦学楽学塾 随時入会受付中!理系大学受験ネット塾苦学楽学塾(ご案内はこちら)ご入会は、
まず、こちらまでメールを
お送りください。